This thread has been locked.

If you have a related question, please click the "Ask a related question" button in the top right corner. The newly created question will be automatically linked to this question.

[参考译文] TPS65100:电压错误、保护功能在 VADD 8mA 时关断

Guru**** 2505475 points
Other Parts Discussed in Thread: TPS65100

请注意,本文内容源自机器翻译,可能存在语法或其它翻译错误,仅供参考。如需获取准确内容,请参阅链接中的英语原文或自行翻译。

https://e2e.ti.com/support/power-management-group/power-management/f/power-management-forum/869013/tps65100-voltages-wrong-and-protection-shut-down-at-vadd-8ma

器件型号:TPS65100

大家好、我设计了一个在 电压三倍频器模式下使用 TPS65100的电路。

目标是获得

0.18mA 时 VGH = 16V

小于20mA 时、VADD=10V

0.25mA 时、VGL=-7V

VDD 正常= 3.3V

我将驱动 TOPWAY LMT070DICFWD-NNA displaye2e.ti.com/.../LMT070DICFWD_2D00_NNA-Datasheet.pdf

但是、当我在没有 LCD 的情况下打开它时、我得到以下结果

V03 VGH = 17.32V
V01 VADD=9.25V
V02 VGL=-7.32V
VADD 上升期间、VDD 压降= 2.488V
VDD 正常= 3.239V

无论我如何更改 R28和 R29、VGH 都保持不变、但在我需要的地方没有任何东西会将其降至16V。

所有电压都是错误的  

当我在上放置 TFT LCD 时、我测量了以下信号

LCD 上独立测试台车电路上的电流为

0.18mA 时、IGH=16V

6 - 8mA 时 IADD=10V

0.25mA 时、IGL=-7V

所有这些都显示在 LCD 和 TPS65100的规格中

但在使用 TPS65100的电路中、我得到了奇怪的电压  

V03 VGH = 17.32V
V01 VADD=9.25V
V02 VGL=-7.32V

因此、我发现消耗6mA 电流的 LCD 效果非常好、但在 VADD 上消耗8mA 电流的 LCD 会导致 TPS65100在667ms 后进入关断保护模式、然后必须拔下电源线。 但在6mA 下消耗较低电流的完全相同的制造和模型的 LCD 工作正常、没有任何问题。  

我现在已经制造了90个单元、其中40个单元与 LCD 一起使用、由于这个确切的问题、这些单元都是相同的问题。 LCD 似乎在技术规格范围内、所有电路板都能与在 VADD 上消耗6mA 电流的 LCD 完美配合工作。 因此我不能将问题指向 LCD 制造商、因为没有超出其规格的参数。 但是、我在 TPS65100上获得的信号的行为方式不可预知、例如 V03、它无法调整、几乎一直保持在2 x VADD 上。


这里还有一个、VSW 信号为1.6MHz、直流电压为34.7%、峰间电压为5.611V

我现在就这个问题坐了一个多星期,似乎根本不知道是什么原因造成这种情况。

如果您能从您的角度帮助解决问题的原因以及从何处开始查找问题、我们将不胜感激、因为我只剩3天时间、才必须在客户处安装全部90个装置、但我仍然看不到任何结果。

我认为我的电路构造正确、我的计算也正确。

但我相信、某处是一个基本的设计错误、在我的所有100块电路板上都表现得一致

  • 请注意,本文内容源自机器翻译,可能存在语法或其它翻译错误,仅供参考。如需获取准确内容,请参阅链接中的英语原文或自行翻译。

    好的、我在这个问题上有了新的发展、我在 V02 (VGL)和 GND 之间放置了一个22uF 的 TANT 电容器、突然所有 LCD 都工作正常。

    我不知道为什么会发生这种情况,我认为这可能会使 VGL 延迟一点,但在我看来,这是一项很难做的工作,但它是有效的。 我仍然想知道为什么我们要从这个问题开始、因为虽然这可能会在本周节省我的时间、但我需要在2020年进行设计更改以纠正这个问题。 我仍然不知道哪里出错了。

  • 请注意,本文内容源自机器翻译,可能存在语法或其它翻译错误,仅供参考。如需获取准确内容,请参阅链接中的英语原文或自行翻译。

    您好、Marius、

    感谢您发帖。 我们会详细研究和反馈、但响应可能会因假期而延迟。 我感谢您提前耐心等待。

    此致、

    辽卡特

  • 请注意,本文内容源自机器翻译,可能存在语法或其它翻译错误,仅供参考。如需获取准确内容,请参阅链接中的英语原文或自行翻译。

    您好、Marius、

    我在您的帖子中查看了您的原理图和说明、并发表了以下评论:

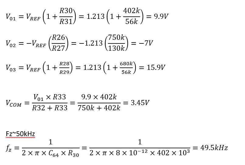
    1、对于 VO3、您应该使用倍压器模式而不是三倍频器模式、因为 VO3将无法达到您设置的电压、因为电荷泵在三倍频器模式下可以实现多低的电压受到限制。 请参阅数据表中的表5以进一步了解这一点。 由于所需的 VO3仅为16V、因此使用倍压器模式可轻松实现、因为 VO1为9.9V。 这可能是 TPS65100关闭的原因 、因为 VO3超出稳压范围、并且由于我在上面解释的限制、无法进一步调节。 即使您的 LCD 工作正常、我也建议进行此更改、因为 VO3可能位于检测故障的阈值边缘、并且可能会在某些电路板上检测到故障、而不是在其他电路板上检测到故障。

    由于您的设计中未使用线性稳压器控制器、因此应通过将 ENR 引脚2接地来使其使能引脚处于非活动状态。 您的原理图当前显示它连接到3.3V。

    请注意、在计算中、应将 Vref=1.146V 用于 VO1、Vref=1.213V 用于 VO2、Vref=1.214V 用于 VO3。

    我认为、一旦您在设计中进行这些更改、一切都应该正常工作、

    此致、

    辽卡特