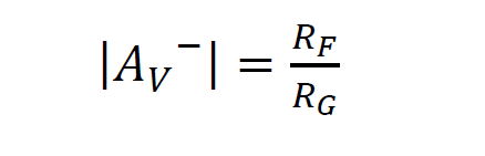
您好,在放大器噪声系数计算一文中,4.1小节 Inverting输入运放噪声系数计算,列举了以下公式,

我的理解是该物理量代表输入源在TIA反相输入端时的Gain,如果Rs为Source Resistor,则此时 Vo/Vi = Rf / (Rs + Rm || Rg) (TIA反相输入端节点虚短为GND),请问为什么资料中为Rf / Rg,期待您的回复,感谢~
此外我在进行TIA输入电压噪声计算的时候,是代入Inverting输入运放噪声模型,还是Non-inverting模型呢?
This thread has been locked.
If you have a related question, please click the "Ask a related question" button in the top right corner. The newly created question will be automatically linked to this question.
您好,在放大器噪声系数计算一文中,4.1小节 Inverting输入运放噪声系数计算,列举了以下公式,

我的理解是该物理量代表输入源在TIA反相输入端时的Gain,如果Rs为Source Resistor,则此时 Vo/Vi = Rf / (Rs + Rm || Rg) (TIA反相输入端节点虚短为GND),请问为什么资料中为Rf / Rg,期待您的回复,感谢~
此外我在进行TIA输入电压噪声计算的时候,是代入Inverting输入运放噪声模型,还是Non-inverting模型呢?
您好,
这显示的是反相闭环信号增益。 同相和反相配置中的噪声增益将相同的 NG =(RF/RG)+ 1。 对于 TIA、由于放大器的高阻抗、电流输入将分流到射频、因此增益将变为跨阻增益。 因此、信号增益将等于 Rf。 我不确定公式来自哪个文档、但可能是因为本文档基于具有电压输入的标准同相/反相放大器配置、而不是专门基于电流输入的跨阻配置。
对于噪声、应始终使用噪声增益(等于同相增益1 + RF/RG)。 我建议查看以下建议的配套资料:
有关 TIA 噪声基本原理的快速博客
我还在下面附上了两份 PDF、我认为它们在这个主题上也非常有用。 如果您对建议材料有疑问/说明、敬请告知。