This thread has been locked.

If you have a related question, please click the "Ask a related question" button in the top right corner. The newly created question will be automatically linked to this question.

求助在看TI高精度实验室中关于噪声仿真时出现与课堂讲的不一样的情况

Other Parts Discussed in Thread: OPA627

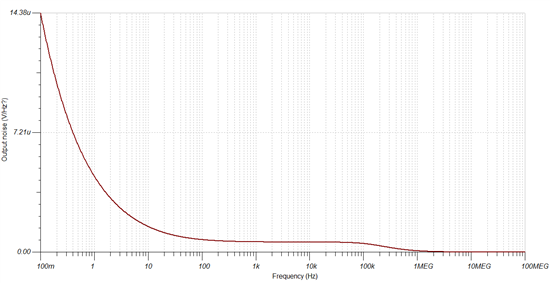
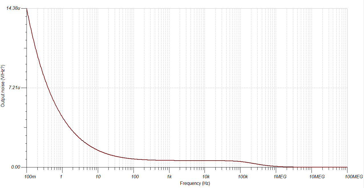
TI的技术支持你们好,我在学习贵公司的TI高精度实验室中关于噪声一章中按照课程中提供的文档电路进行TINA噪声仿真时,发现技术文档中说的总输出噪声积分曲线会收敛于一个值,可是不管我如何将终止频率设置为何值,总输出噪声积分曲线总是会不停的上扬,并不会收敛,是什么原因呢?图1是文档中仿真电路截图,图2是文档中仿真后输出噪声曲线和总噪声积分曲线截图,图3是文档中的一段关于总噪声积分曲线会收敛于一个值的文字描述,图4和图5是我自己的噪声仿真结果图,另外附件附上我的电路仿真文件

图1

图2

图3

图4

图5


噪声.TSC