This thread has been locked.

If you have a related question, please click the "Ask a related question" button in the top right corner. The newly created question will be automatically linked to this question.

ISO124P输入电阻参数如何选取?

Other Parts Discussed in Thread: ISO124

供电电压时+15V和-15V,要测量输入36V的电压,在ISO124P输入前面使用了2K和10K以及20K和100K两种分压方法,发现后者的精确度大大下降,请问ISO124P输入分压电阻是如何选取的?它由哪些指标或参数确定?

  • 楼主你好!

    请问你的精度是指什么?

    值得注意的是ISO124的输入阻抗为200kOhm,如果使用过大的分压电阻,需要考虑输入阻抗。

  • 测量误差。

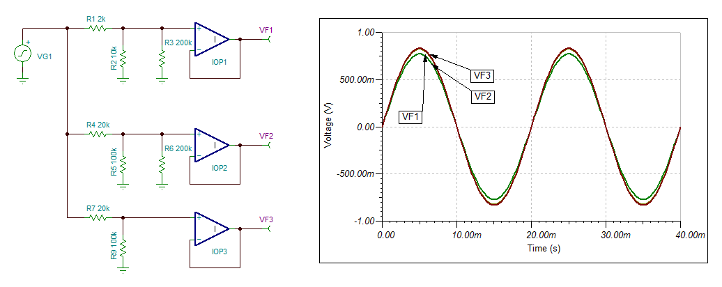
    举例:如果是17V稳压电源输入,使用2K和10K的电阻分压,ISO124P输出与理论值仅仅相差几mV;若使用20K和100K的电阻分压,ISO124P输出与理论值相超过200mV!

    ISO124P的PDF中输入阻抗为200kOhm,请问如何考虑分压电阻和输入阻抗的关系?

    非常感谢Billy,其实我们测试使用ISO124P非常多,过去一直是参考其PDF的P8图FIGURE 5,仅仅选择了10K作为分压,但是并不知道为什么,请Billy先生告知。谢谢!

  • 楼主你好!

    输入阻抗实际上是和分压电阻并联的。楼主可以在放大器输入加信号,测量输出,然后算出实际的放大倍数的即可。

  • 如附件中的图所示,ISO124P的输入阻抗200K显然和分压电阻R2并联。你们TI的回答“楼主可以在放大器输入加信号,测量输出,然后算出实际的放大倍数的即可”其实并没有真正回复楼主的问题,在实际测量中,显然R1和R2大小的选取会影响到测量的精度,但是TI并没有回答如何产生这个问题以及怎样正确解决这个问题的方法。然而“楼主可以在放大器输入加信号,测量输出,然后算出实际的放大倍数的即可。”这种回答,本人认为是有问题的,ISO124P本就是一个运放,其增益已经并明确告知用户为1,且误差的典型值也精确给出。用户显然有选择被认为是最典型和最简洁的方法,就是选择它的增益为1来匹配所设计的电路。

    最后,希望TI给出分压电阻与输入阻抗200K的关系,并说明分压电阻在什么情况下就会影响到增益的线性度了?单纯的靠测量放大倍数似乎是不可靠的,因为当ISO124P不工作在增益为1的环境下,反而是朝着小于1的方向越走越远!

  • 这位同学你好!

    1、感谢你对我们工作的支持和建议,对于我之前的回复无法然楼主理解问题感到抱歉,我们将会用尽可能清晰、简单的方式来解答问题。


    2、我们知道,什么叫做输入阻抗,输入电阻。在大学的《电路基础》或者《模拟电路》课程中,都有提到,输入阻抗、电阻,是指电路输入节点对地的阻抗、电阻。

    指标书中明确说明了ISO124的输入电阻为200kohm。并不是无穷大。所以楼主使用分压电阻需要考虑这个值对分压网络的影响。

    3、假设楼主使用理想电压源来测试ISO124,那么,输出等于输入,增益误差如同指标书中所述。可是,楼主的电路中,电压源经过了分压电路送至ISO124。那么,整体的增益就不等于运放的增益。

  • 4、那么如何计算呢。非常简单:a)Vin * (R2 || 200k)/ (R1 + (R2 || 200k)) = Vout。当R1 R2 为 2k 10k时,从运放看出去,源的输出阻抗为 2k || 10k = 1.67k,对于200k的输入阻抗可以忽略。所以,这个时候实验效果理想。当输入为,20k 100k分压时,等效输出阻抗为 16.7k,相对于200k输入阻抗,当然就不能忽略了。所以会有误差。

    (点击看大图)


  • “然而“楼主可以在放大器输入加信号,测量输出,然后算出实际的放大倍数的即可。”这种回答,本人认为是有问题的,ISO124P本就是一个运放,其增益已经并明确告知用户为1,且误差的典型值也精确给出。用户显然有选择被认为是最典型和最简洁的方法,就是选择它的增益为1来匹配所设计的电路。”

    回答如下:

    我们知道,做仪器仪表应用,或者说电子测量应用,我们并不关心电路某个环节的增益值是多少。为什么呢,因为由于有源、无源器件都有误差。即便是0.5%对于电测都是很大的误差。所以,我们所有的仪表出厂前,都要校正增益参数,也就是我前面说的方法。为输入提供一个幅度已知的信号,然后测量输出。从而得到实际增益值。

  • 非常感谢TI的回复!

    问题的关键是在于对输入阻抗200K欧姆的理解,ISO124PDF中图8方框图中内置的“200K欧姆”是不是恰巧与其输入阻抗相等?

     

  • 没有明白楼主的意思。

    手册中,figure 8?麻烦截个图,没有看到楼主所说的电阻。

  • 非常抱歉,这是笔误应该是P6的FIGURE 1. Block Diagram!特感谢TI的耐心讲解。目前这个问题已经得到很好解决,谢谢。

  • 请楼主确认答案,感谢您对TI的支持。

  • 您好,P6,Figure1输入端的200K电阻,不是输入阻抗,这个电阻目的是把输入电压转换为电流,送给调制器。

    datasheet中都有说明的,建议多看看datasheet。

  • 阻抗(electrical impedance)是电路中电阻、电感、电容对交流电的阻碍作用的统称。

  • 感谢TI的专业解答,回复很完好。本人大力支持TI。。。。。。。