Other Parts Discussed in Thread: TLC372
输入是:峰峰值为0~2V的单极性正弦波,频率为10Hz。单独的高通和TLC比较器都能正常工作,当他们接到一起后,从高通滤波器输出的波形明显被抬升了好几百毫伏(应该是规则的正弦波的)。不知道为什么,跟TLC内部结构有关系吗?望指教!电路图如下:
仿真图如下:
This thread has been locked.
If you have a related question, please click the "Ask a related question" button in the top right corner. The newly created question will be automatically linked to this question.
Other Parts Discussed in Thread: TLC372
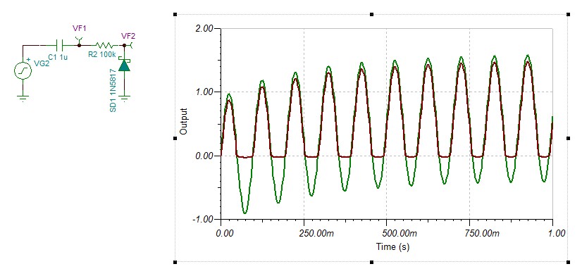
输入是:峰峰值为0~2V的单极性正弦波,频率为10Hz。单独的高通和TLC比较器都能正常工作,当他们接到一起后,从高通滤波器输出的波形明显被抬升了好几百毫伏(应该是规则的正弦波的)。不知道为什么,跟TLC内部结构有关系吗?望指教!电路图如下:
仿真图如下:
在频率为10hz~5khz时,比较器的输入端电压都有被抬升,抬升的电压是逐渐递减至接近0。此电路是不是比较器的选型不太好,还是滤波器的原因啊!拜谢!
正半周能量充到电容上,然后负半周能量被二极管阻挡了,所以造成正的直流电压。解决办法是可以将信号抬高到2.5v,去掉二极管。