This thread has been locked.

If you have a related question, please click the "Ask a related question" button in the top right corner. The newly created question will be automatically linked to this question.

[参考译文] XTR111:低电压输入下的稳定性

Guru**** 2530080 points
Other Parts Discussed in Thread: XTR111

请注意,本文内容源自机器翻译,可能存在语法或其它翻译错误,仅供参考。如需获取准确内容,请参阅链接中的英语原文或自行翻译。

https://e2e.ti.com/support/amplifiers-group/amplifiers/f/amplifiers-forum/820181/xtr111-stability-at-low-voltage-inputs

器件型号:XTR111

大家好、

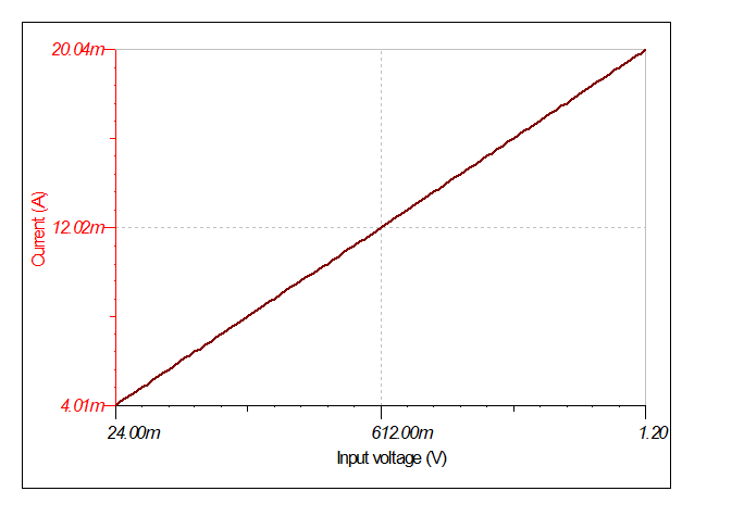
我们的客户希望在 24mV-1200mV 输入电压下运行 XTR111、以获得 4mA-20mA 输出电流。

这是否起作用? 是否会有效率折衷?

如果是、图43上的电阻分压器配置是否适用于该最小至最大输出?

提前感谢您。

此致、

Jejomar

  • 请注意,本文内容源自机器翻译,可能存在语法或其它翻译错误,仅供参考。如需获取准确内容,请参阅链接中的英语原文或自行翻译。

    您好、Jejomar、

    使用 Rset=696 Ω 、5V 基准和输入端的电阻分压器以及 Rset 上的电阻分压器、电阻器可以在输入电压为24mV 至1200mV 时提供4-20mA 输出。  需要权衡的是、基准的漂移/噪声和电阻器的漂移将影响电流输出。  因此、使用精密的低漂移基准和电阻器将确保稳定/准确的结果。

    请参见下图。

    谢谢、此致。

    Luis

      

  • 请注意,本文内容源自机器翻译,可能存在语法或其它翻译错误,仅供参考。如需获取准确内容,请参阅链接中的英语原文或自行翻译。

    谢谢您 Luis。  我将使用200mV 至1000mV 的输入进行简化。  我可以使用下面显示的电路吗?  我有一个可用的精密 ADC (缓冲)、用于监视 Rset 上的电压、使其处于0.1%之内。  因此、我可以使用它在软件中修整电路、以更正失调电压误差。  这似乎是一种良好的总体方法吗?

  • 请注意,本文内容源自机器翻译,可能存在语法或其它翻译错误,仅供参考。如需获取准确内容,请参阅链接中的英语原文或自行翻译。

    尊敬的 Jeff:

    是的、如果您的应用允许您将 Vin=200mV 设置为1000mV、Rset=500欧姆、则电路将产生4-20mA 输出。  这使得该解决方案更加简单、因为您不必在硬件中注入4mA 和24mV 失调电压、从而最大限度地减少系统中的误差源。

    此致、

    Luis

  • 请注意,本文内容源自机器翻译,可能存在语法或其它翻译错误,仅供参考。如需获取准确内容,请参阅链接中的英语原文或自行翻译。

    感谢你的帮助!