This thread has been locked.

If you have a related question, please click the "Ask a related question" button in the top right corner. The newly created question will be automatically linked to this question.

[参考译文] LMX2531:LMX2531

Guru**** 2770995 points

Other Parts Discussed in Thread: LMX2531

请注意,本文内容源自机器翻译,可能存在语法或其它翻译错误,仅供参考。如需获取准确内容,请参阅链接中的英语原文或自行翻译。

https://e2e.ti.com/support/clock-timing-group/clock-and-timing/f/clock-timing-forum/684685/lmx2531-lmx2531

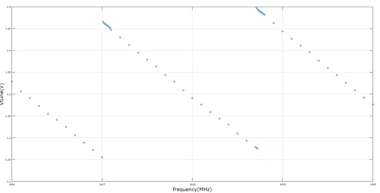
器件型号:LMX2531

主席先生,

我们最近在合成器稳定时测量了不同频率的调谐电压、结果如附件所示。

该图意味着 LMX2531在每个频段中具有负 Kvco。

您是否可以帮助您说明原因是什么?  

 谢谢、Ian。

  • 请注意,本文内容源自机器翻译,可能存在语法或其它翻译错误,仅供参考。如需获取准确内容,请参阅链接中的英语原文或自行翻译。
    Ian、

    遗憾的是、由于以下两个原因、我们无法披露此信息:
    它让您深入了解我们的 VCO 设计、这是一种知识产权。
    2.如果理解这一点可以帮助客户在我们的器件中进行更好的设计、这是值得怀疑的。

    根据变容二极管的方向、可以使用正或负调谐系数创建 VCO。 我们选择的架构的方向选择是任意的、但我们选择的方法是有充分理由的、但我无法透露这一原因。

    此致、
    Dean