This thread has been locked.

If you have a related question, please click the "Ask a related question" button in the top right corner. The newly created question will be automatically linked to this question.

[参考译文] TIDA-00318:线圈修改

Guru**** 2539500 points


请注意,本文内容源自机器翻译,可能存在语法或其它翻译错误,仅供参考。如需获取准确内容,请参阅链接中的英语原文或自行翻译。

https://e2e.ti.com/support/tools/simulation-hardware-system-design-tools-group/sim-hw-system-design/f/simulation-hardware-system-design-tools-forum/687203/tida-00318-coil-modification

器件型号:TIDA-00318

大家好、

我正在查看 TIDA-00318: http://www.ti.com/tool/TIDA-00318。 因为我要尝试更改 WR221230-36M8-G (https://product.tdk.com/info/en/catalog/datasheets/wlc_rx_wr221230-36m8-g_en.pdf)或 WR111180-45F5G (https://media.digikey.com/pdf/Data%20Sheets/TDK%20PDFs/WR111180-49F5-G_Spec.pdf)的线圈。  

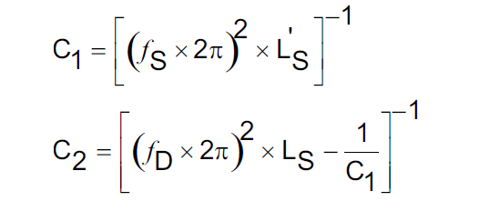
因此,我非常困惑,因为 如果我使用 bq51003 数据表中的公式来计算   TIDA-00318 (http://www.ti.com/tool/TIDA-00318 )测试期间使用的线圈(product.tdk.com/.../wlc_rx_wr222230-26m8-g_en.pdf):

 

我得到 C1 =(100KHz *2pi)^2*27uH]^(-1)= 93.8nF 且 C2 =(1MHz*2pi)^2*27uH - 1/(93.8nF)]^(-1) 0.948nF。 与 TI 在 Altium 原理图中确定的值不同:

有人能告诉我我是否忘记了步骤、或者他们是否在这个原理图中使用了不同的线圈、或者只是我用了错误的方式进行计算吗?