This thread has been locked.

If you have a related question, please click the "Ask a related question" button in the top right corner. The newly created question will be automatically linked to this question.

UC3842A datasheet中公式的参数含义



Hi

我再阅读UC3842A的datasheet时发现在计算参数的公式中有两个地方的参数不太明确如下:

其中的s(f)公式中的i与f分别是什么意思?他们的定义是什么?

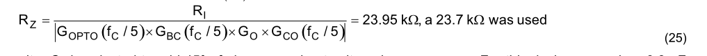
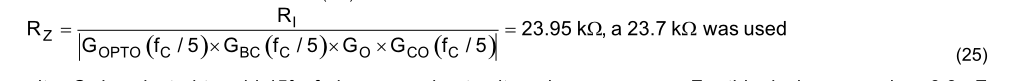
以及下面图中公式的Go是什么参数?

感谢