每当检查年轻工程师的电路原理图或印刷电路板 (PCB) 布局布线时,我都要挑选几个项目,问他们“为什么这么做?”为什么你选择这个组件?为什么把它布置在 PCB 的这个位置?之所以问这些问题是因为工程师在做出每个设计决策时都应该有合理的理由。
例如,在配置成缓冲器的运算放大器反馈路径中有一个电阻器,应该马上想到“这是为什么呢?”
图 1:在反馈路径中包含电阻器的运算放大器缓冲器电路
令人难以接受的实际情况是工程师经常不知道自己为什么使用电阻器 R2。他们可能在以前的原理图中看到过,所以感到必须包含这个电阻器。这些电阻器通常用于低速应用 (<50 MHz),以消除运算放大器输入偏置电流产生的 DC偏移。但是,正如我之前的同事 Bruce Trump (已退休)所指出的那样,这样做收效甚微。
R2 还可能会在输出出现 静电放电 (ESD) 冲击时为反相输入提供一定的保护。此外,如果两个输入端有匹配的电源阻抗,有些运算放大器(特别是 JFET 输入型)就会产生较低的失真。但如果不理解 R2 的用途,通常就会随机选择该值,从而导致不稳定性。
要理解 R2 导致不稳定性的原因,我们在该电路中加入运算放大器的输入电容,如图 2 所示。
图 2:在图 1 电路中加入运算放大器输入电容
R2 与输入共模电容 CCM2 及输入差分电容 CDM 在反相输入端构成一个低通滤波器。反馈路径中的低通滤波器在放大器的噪声增益曲线 (1/β) 上产生一个零值,所处频率为:
如果该零值远远高于放大器的单位增益带宽,如图 3 中fz(2) 所示,它就不会影响电路的稳定性。但如果这个零处于或低于运算放大器的单位增益带宽位置,例如 fz(1),噪声增益曲线就会以大于每十倍频程 20dB 的速率与开环增益曲线相交,表明有可能产生的不稳定性。
图 3:缓冲器放大器的开环增益(红)和噪声增益(蓝)曲线
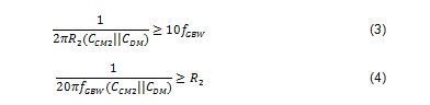
该零值的相移在低于 fz 的十倍频位置开始,因此保守设计原则是:
用该公式替换 fz,我们便可确定能确保稳定性的 R2 最大值:
为了展示该效果,我对采用缓冲器配置的 OPA172 进行了仿真,并测量了不同 R2 值的相位裕量。OPA172 的单位增益带宽是 10MHz,输入共模与差分电容均为 4pF。使用公式 4 中的设计准则,R2 的最大值是:
图 4 是我用来测量相位裕量的 TINA-TI™ 仿真电路原理图。反馈环路在运算放大器输出端由电感器 L1 损坏,一个电源 (VG1) AC 耦合至该反馈环路。环路增益由具有“LG”标识的探针提供,在环路增益等于 0dB 时,可测量相位裕量。
图 4:配置为缓冲器的 OPA172 的 TINA-TI™ 仿真电路原理图
图 5 是在 R2 值增加时相位裕量的曲线。蓝线是我们用公式 5 计算出的 R2 最大值。在低于该限值时,相位裕量的降低最小,在 R2 = 200 欧姆时仅降至 62°,而高于该限值时,相位裕量则会快速降低。
图 5:OPA172 相位裕量及 R2 值的比较曲线
记住这一分析不包括电容负载或 PCB 寄生效应的影响,但它们也会降低电路的相位裕量。
在某些电路中可能会有使用 R2 的适当理由,但在将其纳入电路原理图之前,要问问自己,使用该电阻器希望达到什么效果。如果所需的值很大,您可能会遇到稳定性问题。在任何工程设计工作中多问“为什么”,对工程师自我提高十分关键!








