This thread has been locked.
If you have a related question, please click the "Ask a related question" button in the top right corner. The newly created question will be automatically linked to this question.
Part Number: OPA211
您好,
您输入的信号的幅值和频率范围是多少?
输入电压为50-150mv,频率比较低1kHZ到17khz都可以,23khz就截至了
我用TINA仿真的-3dB截止频率大概为1.1kHZ,并不是23khz
我想问的是输入电压为50-150mv,此运放能满足50倍放大后稳定输出电压,我们不用管输入频率,在1kHZ到17khz都可以,至于截至频率我们可以自己调。图片的截至频率确实不是23Khz
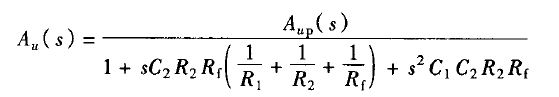
这是个无限增益多路反馈二阶低通滤波器,它的传递函数(可以在童诗白模拟电子书上找到)是
根据劳斯稳定判据它是稳定的
请问,我们采用OPA211能否满足10HZ的截至频率,并且有五倍的放大,请问上述原理图的电容电阻搭配是否可行,或者需要更改哪些阻值和容值
建议使用下面阻容参数: