在工业控制中各类传感器常输出标准电流信号4~20mA,为此,常要先将其转换成±10V;的电压信号,以便送给各类设备进行处理。这种转换电路以4mA为满量程的0%对应-10V;12mA为50%对应0V;20mA为100%对应+10V。参考电路如下图所示
图中A1运放采用差动输入,其转换电压用电阻R1两端接电流环两端,阻值用500Ω,可由二只1KΩ电阻并联实现。这样输入电流4mA对应电压2V,输入电流20mA对应电压10V。A1设计增益为1,对应输出电压为-2V~-10V。故要求电阻R2,R3,R4和R5+RW阻值相等。这里选R2=R3=R4=10KΩ;选R5=9.1KΩ,RW1=2KΩ。Rw1是用于调整由于电阻元件不对称造成的误差,使输出电压对应在-2V~-10V。变化范围为-2-(-10)=8V. 而最终输出应为-10V~+10V,变化范围10V-(-10V)=20V,故A2级增益为20V/8V=2.5倍,又输入电流为12mA时,A1输出电压为-12mA×0.5mA=-6V.此时要求A2输出为0V。故在A2反相输入端加入一个+6V的直流电压,使 A2输出为0。A2运放采用反相加法器,增益为2.5倍。取R6=R7=10KΩ,R9=22KΩ,RW2=5KΩ,R8=R6//R7//R9=4KΩ,取标称值R8=3.9KΩ。
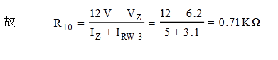
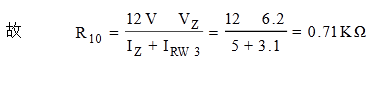
反相加法器引入电压为6V,通过稳压管经电阻分压取得。稳压管可选稳定电压介于6~8V间的系列。这里取6V2,稳定电压为6.2V。工作电流定在5mA左右。电位器电流控制在1~2mA左右。这里IRW3=6.2V/2K=3.1mA。 则有 (12V-VZ)/R10=IZ+IRW3
则有 (12V-VZ)/R10=IZ+IRW3
取标称值R10=750Ω.式中12V为电路工作电压。
RW2用于设置改变增益或变换的斜率(4mA为-10V,20mA为+10),通过调整RW2使变换电路输出满足设计要求。

