本想学习用uaf42制作一个工频陷波器,但一直弄不懂具体该怎么确定外围电路用哪种,具体每个外围元件怎么确定其参数。找原有的专用设计软件又用不了,求大神指导。现在希望能学会用uaf42制作各种滤波器。
这像是状态可调滤波器(状态变量滤波器)的设计,你可以参考下下面的计算公式:
你好,那个工频陷波器制作的怎么样了?
我看到TINA的示例中有个用UAF42E设计的工频陷波器,你可以参考下:
参数的计算请参照手册和上面贴图给出的公式。
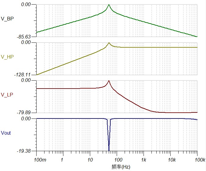
这个实例是低通滤波输出V_LP和高通滤波输出V_HP通过反比例放大器电路的叠加来实现陷波的输出。
最后得出输出结果如下:
其中陷波衰减度是通过R5/R3(R4)来设置的,当然总的衰减度还要考虑低通滤波和高通滤波输出的增益(R6设置)。
用DOSBOX运行就可以啦