This thread has been locked.

If you have a related question, please click the "Ask a related question" button in the top right corner. The newly created question will be automatically linked to this question.

[参考译文] 方波反应 OPA134低通滤波器

Guru**** 2782575 points
请注意,本文内容源自机器翻译,可能存在语法或其它翻译错误,仅供参考。如需获取准确内容,请参阅链接中的英语原文或自行翻译。

https://e2e.ti.com/support/audio-group/audio/f/audio-forum/1321251/square-wave-reaction-opa134-low-pass-filter

Hallo,

我正在构建一个非常简单的低通超低音滤波器切割大约40Hz。

为什么方波不像 sqare 那样穿过滤波器级?

缓冲器后、0.360mV 30Hz 方波保持形状。

如果我有一个音频低音脉冲,这也是可列表退化吗?

在此设计矿石中、我必须期望出现哪些问题、在此方面我能做得更好吗?

你太多了。

  • 请注意,本文内容源自机器翻译,可能存在语法或其它翻译错误,仅供参考。如需获取准确内容,请参阅链接中的英语原文或自行翻译。

    Ralf、

    1. 我仿真了您的电路。  我没有添加最后一个阶段、但我认为这不是您的应用需要关注的问题。   
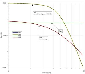
    2. 第一级之前的第一个滤波器是唯一的高通滤波器(HPF)。  所有其他滤波器都是低通滤波器(LPF)。  我认为 LPF 是问题所在。
    3. LPFS 的截止频率为40Hz。  您可能认为、在通过此滤波器时、30Hz 信号应该不会有问题、但滤波器带宽仅适用于正弦波形。  
    4. 利用傅里叶定理、可以创建任何具有傅里叶级数的周期性信号。     方波(实际是梯形)的傅里叶级数将包含许多频率。  基波 正弦波将为30Hz、谐波为90Hz、 150Hz、210Hz、以此类推(请参阅 梯形傅里叶 )。   梯形 波形中的谐波数量实际上是无穷大的、但从实践角度来看、如果您放大 前4或5个谐波、那么您应该能够合理地 重现原始谐波。  由于截止频率为40Hz、因此您基本上会衰减所有谐波。  如果完全消除所有谐波、则只能看到30Hz 基频。  您不能完全消除 谐波、但可以将它们减少到输出看起来像正弦波的程度。   
    5. 要放大该信号、您可能应该将截止频率设置为270Hz 或更高。
    6. 下面 是一个嵌入了我的仿真结果的 TINA 文件 (显示 fc = 40Hz)。

    e2e.ti.com/.../filter_2D00_opa134.TSC

    希望这对您有所帮助!

    此致、艺术

  • 请注意,本文内容源自机器翻译,可能存在语法或其它翻译错误,仅供参考。如需获取准确内容,请参阅链接中的英语原文或自行翻译。

    哈罗艺术

    感谢您的回答、方波以窦式形状发生的变化完全可以理解、解释得很好。 我是电子领域的新手、我只是想知道这种变换。

    第5点:我认为、要我用作低音炮滤波器、不需要再现方波。  我不确定普通音轨中是否会出现方波、即使电子音乐也会局限于 扬声器重负荷的 MEMBRAN 本身的可能性。 这个包含所有物理阻尼的质量可能不能无限快地加速以 在40Hz 频率区域中形成正方形。

    如果在将此电路用作正常音频低通滤波器时没有遇到任何权重问题、那么我的问题就解决了。 我将构建此电路、并根据音频设置对其进行测试。 理论和实践有时有不同的期望。

     非常感谢