This thread has been locked.

If you have a related question, please click the "Ask a related question" button in the top right corner. The newly created question will be automatically linked to this question.

[参考译文] THVD8000:选择降压转换器以切断 PLC 总线电源时的建议

Guru**** 2500905 points
Other Parts Discussed in Thread: THVD8000

请注意,本文内容源自机器翻译,可能存在语法或其它翻译错误,仅供参考。如需获取准确内容,请参阅链接中的英语原文或自行翻译。

https://e2e.ti.com/support/interface-group/interface/f/interface-forum/1508760/thvd8000-recommendation-when-selecting-buck-converter-to-tap-power-off-of-plc-bus

器件型号:THVD8000

工具/软件:

您好、

我有一个多节点设置、其中每个节点都将从电源线获取电力、并使用降压转换器为其 MCU 供电。

我的 Fset 频率为500kHz、我计划使用开关频率为400kHz 的降压转换器。

这是否会导致我的通信出现问题? 选择具有较高开关频率(例如1.1Mhz)的降压转换器是否是更好的选择?

此外、如果电缆运行时间较长、并且线路上的电压会因所有节点的动态负载而变化、这是否会导致通信问题?

  • 请注意,本文内容源自机器翻译,可能存在语法或其它翻译错误,仅供参考。如需获取准确内容,请参阅链接中的英语原文或自行翻译。

    您好:宜兴、

    因此、我不会选择开关频率处于 THVD8000调制器的容差范围内的降压转换器、该容差范围为+/-25%、因此500kHz 设置下的最低调制频率将为375KHz。 此外、虽然数据表中没有直接说明、但内部解调器包括一个带通滤波器、用于"选择"在接收模式期间进入 THVD8000的 OOK 数据信号、该带通滤波器具有非常宽的通带、该通带通常扩展到超过设定频率的+/-25%容差(它不是直接规格、因此这里没有确切的"数字"、但只知道去耦调制器通常会超过25%+ mod_dadpass)。  

    主要原因是 THVD8000对噪声敏感-在500kHz 下、您可能 只会看到逻辑1和逻辑0之间20至40mV 的迟滞、并且从降压转换器输入到共享总线上的注入噪声可能会被误认为是逻辑低电平信号(逻辑低电平意味着 THVD8000检测到了脉冲序列)、这可能会影响数据完整性。  

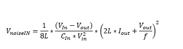
    您可以查看使用的特定降压转换器设计来估算噪声-估算降压输入的噪声主要有两种情况。  

    条件语句:  


    如果条件语句大于1、则降压转换器输入电容器上的峰峰值噪声如下所示:

    其中、如果条件语句小于1、则降压转换器输入电容器上的峰峰值噪声如下所示:

    这将为您提供输入端开关噪声的幅度、基频将是降压转换器的开关频率。  

    考虑到这一点、我的主要建议实际上是保持400kHz 的开关频率降压并将调制频率至少增加到1MHz (得益于调制频率较高、电源/负载之间的耦合电感器较小) 在确保具有相对较高的输入电容的同时、还能以更高的电平从电源输入中消除 OOK 噪声、还能减少注入到共享总线上的噪声量。  

    对于第二个问题、请查看下面的 THVD8000应用的简化图:

    电源负载/电源可以是动态的、如果遵循正确的设计协议、这不应该是一个主要问题。  

    本质上、在为应用选择电感器和电容器时、务必保持适当的阻抗水平、以便 THVD8000能够正确驱动负载。  

    假设电源和电源负载都包含大容量电容-对于输入电容器形式的降压转换器、使用不同的直流电源为线路上的其他降压转换器提供输入电源我假设主直流电源上会有大容量输出电容。  

    这很重要的原因是、THVD8000除了电感器之外的所有器件都将视为"AC GND"  

    将从电感器和其他 THVD8000的所有总线负载视为共模阻抗(这是一个用于表示 A 线和 B 线到 GND 阻抗的值-这遵循标准 RS -485、这意味着端接系统的最小值为375欧姆)。  

    就 THVD8000而言、没有电源或电力负载、因为电感器连接到"GND"(它不是真正的接地、而是连接到 THVD8000)。  

    此外、由于电力线的主能量是直流、因此很少的电源信号通过耦合电容器(如上面的 C1 - C4所示)使其通过。  

    最大的问题基本上是降压转换器的开关噪声-但只要尽可能降低噪声并且将开关频率范围与 OOK 调制频率范围分离、就不会出现太大的问题。 此外、由于这是对噪声敏感的器件、通信节点上的额外滤波可能包括分裂终端、A 和 B 到 GND 的滤波电容器(为获得更佳结果、不超过100pF -但起始电压低于100pF -大约为50pF)有助于提高性能。 最大的问题是您不希望降压开关的速度与 OOK 数据相似、因为 THVD8000可能会根据噪声幅度以脉冲序列的形式读取开关噪声。  

    我还在该主题中附加了一个元件计算器、可以加快 LC 值的选取-计算器上的一条注意事项-这些公式确实与数据表中显示的公式有所偏差-数据表公式不包括来自其他 THVD8000s 的负载-计算器会。 对于更小的节点数、您将获得非常相似的结果、但随着节点数量的增加、其他收发器的负载也很重要。

     e2e.ti.com/.../8308.THVD80x0_5F00_Design_5F00_Calculator.xlsx

    如果您有任何其他问题、请告诉我、我将了解我可以做什么!

    此致、

    Parker Dodson

  • 请注意,本文内容源自机器翻译,可能存在语法或其它翻译错误,仅供参考。如需获取准确内容,请参阅链接中的英语原文或自行翻译。

    感谢您提供信息!

    但是、我确实希望将调制频率保持在500kHz、以便与1MHz 调制频率相比可以保持更长的导线运行。 我还有一个以1.1Mhz 频率进行开关的降压稳压器。 那么、当我保持500kHz 调制并将降压开关频率运行至1.1Mhz 时、该选项也将是一个可行的解决方案、对吧?

    此外、我知道建议保持54欧姆的最小线路阻抗、以便 THVD8000可以将线路驱动到正确的1.5V 幅度水平、并防止磨损。 THVD8000可以正确驱动线路并仍保持使用寿命的线路阻抗是否绝对最小?

    谢谢、

    宜兴市

  • 请注意,本文内容源自机器翻译,可能存在语法或其它翻译错误,仅供参考。如需获取准确内容,请参阅链接中的英语原文或自行翻译。

    您好:宜兴、

    我不确定总线的时长-但通常仍然可以使用1MHz 实现300m 至600m 的传输 距离-我们使用20AWG UL2464电源线对 THVD8000进行了测试、这里有一个估算距离表(越靠近最大距离、抖动越差):

    无论如何-如果降压转换器位于1.1MHz、调制频率为500kHz、这应该基本正常-耦合电感器以及降压转换器的良好尺寸输入电容将有助于减少大量噪声- 1.1MHz 应位于 THVD8000接收器通带之外。 话虽如此、我会在总线的终端节点上实现一个分裂终端(其他节点应保持未端接状态-只应端接两端)  

    其中 Rterm/2 = 60欧姆、csplit 的大小将根据 fc = 1/(2*pi*(RTerm/2)*csplit 来确定。

    我为 fc 选择625KHz、得到大约 appx 的 csplit 值。 4.2nF -这有助于进一步滤除高于 fmod +/- 25%的任何频率。  

    除了分裂终端-如果可能、我建议在通信节点上使用共模扼流圈、以帮助减少注入总线的任何噪声。 这可能不是必需的-但如果您的系统中有空间、我至少会在电路板上为其留出空间、以便在需要时添加。  

    所以在布线问题上-理想情况下、总线的两个终端节点端接120欧姆的直流阻抗、这会提供驱动器检测到的60欧姆总负载-我们仍然可以添加+/-10%、并保持在54欧姆以上。 理想情况下、电缆具有120欧姆的特性阻抗、因此终端节点与总线阻抗匹配以减少反射-假设非端接节点与主总线的偏差非常小、因此我们无需端接这些节点。  

    但是、由于应用场合的不同、此设备有所不同-大多数电源线不受阻抗控制-这意味着大多数用于携带电源的接线并不控制阻抗-我看到了一些例外情况、但没有太多。 这意味着、在采用 THVD8000的这些应用中、很难控制反射。 大部分时间都不会成为一个大问题、因为120欧姆电阻器可减少一些反射、而且最有可能反射的能量会在 THVD8000接收器带通带之外具有更高频率的能量。  

    简而言之、可以使用大多数电源线。我们使用标准 RS 485电缆(非屏蔽120欧姆特性阻抗双绞线)、20AWG UL2464电源线和现成的通用恒温器接线对该器件进行了测试、您可以在大多数硬件存储中找到这些电缆、并且我们发现该器件可以在所有这些电缆上进行通信。 在完美的世界中、它将具有120欧姆的特征阻抗-但这对于大多数电源布线来说并不是非常实用。  

    至于驱动器看到的阻抗-我们通常只考虑该规格的直流阻抗-即电缆看起来就像短路。 假设最小阻抗为54欧姆、则表示通过电阻链路。 应考虑电缆电容和任何节点电容产生的交流损耗、因为这会缩短实现的最大距离、但对于"电缆阻抗"、它与实际驱动强度的信号完整性有更多的关系。 然而、正如我在本主题中提到的、只要遵循基本指南、THVD80x0器件就相当可靠且灵活。  

    如果您有任何其他问题、请告诉我!

    此致、

    Parker Dodson