This thread has been locked.

If you have a related question, please click the "Ask a related question" button in the top right corner. The newly created question will be automatically linked to this question.

[参考译文] TLV755P:压降电压特性

Guru**** 2731945 points

Other Parts Discussed in Thread: TLV755P

请注意,本文内容源自机器翻译,可能存在语法或其它翻译错误,仅供参考。如需获取准确内容,请参阅链接中的英语原文或自行翻译。

https://e2e.ti.com/support/power-management-group/power-management/f/power-management-forum/738210/tlv755p-drop-voltage-characteristic

器件型号:TLV755P

大家好、支持团队

我可以在数据表中看到压降电压与 Iout 的特性数据、如下所示。

我的客户要求在 Vout=1.2V 时获得相同的压降电压与 Iout 数据。

你可以告诉我吗?

谢谢

TAMIO

  • 请注意,本文内容源自机器翻译,可能存在语法或其它翻译错误,仅供参考。如需获取准确内容,请参阅链接中的英语原文或自行翻译。
    您好、Tamio、

    感谢您联系 E2E。 请允许我花些时间来研究提供这些数据。

    谢谢、
    Gerard
  • 请注意,本文内容源自机器翻译,可能存在语法或其它翻译错误,仅供参考。如需获取准确内容,请参阅链接中的英语原文或自行翻译。

    您好、Gerard、

    我知道。

    由于我的客户正在对 TLV75512P 进行明年的某个电源轨评估、因此我们没有足够的时间。

    我希望我将在下周初收到您提供的 Vdrop 特征数据。

    谢谢

    TAMIO

  • 请注意,本文内容源自机器翻译,可能存在语法或其它翻译错误,仅供参考。如需获取准确内容,请参阅链接中的英语原文或自行翻译。

    您好、Tamio、

    很抱歉耽误你的时间。 可用于类似输出电压的唯一数据是压降电压随温度的漂移、如下所示。 这适用于1.5V 输出电压和500mA 负载电流:

    如果此数据不充分、则可以使用数据表中的信息估算一些压降电压与负载电流之间的关系曲线。 当负载介于100mA 和500mA 之间时、曲线呈线性、斜率为:

    RDS、ON = Vdo (typ)@(Vout = 1.2V)/Iout = 500mV/500mA = 1 Ω。  

    当负载电流小于100mA 时、压降特性是非线性的、但可以使用数据表中的3.3V 和5V 波形图通过两个线性段来近似计算。 当负载电流从0变为10mA 时、无论温度或输出电压如何、最小压差首先从0升至30mV。 从10mA 到100mA 的线段只是连接了之前导出的两个线段。 针对数据表中给出的85C 和125C 的最大压降规格、重复了同样的过程。 下面的最后一张图表是在 Excel 中绘制的:

     

    请记住、这些曲线是根据数据表中的信息计算得出的。 如果您在其他温度或负载电流下仍需要更多的压降数据、则需要更多的时间来收集。  

    谢谢、

    Gerard

  • 请注意,本文内容源自机器翻译,可能存在语法或其它翻译错误,仅供参考。如需获取准确内容,请参阅链接中的英语原文或自行翻译。
    您好、Gerard

    我仅向我的客户提供了您所附的 V_drop vs Iout 特征。
    我认为、数据足以让他评估 TLV755P。
    我将在收到他的反馈后关闭此请求。

    谢谢
    TAMIO
  • 请注意,本文内容源自机器翻译,可能存在语法或其它翻译错误,仅供参考。如需获取准确内容,请参阅链接中的英语原文或自行翻译。
    您好、Gerard
    我收到了客户的反馈。
    当 Vin=1.7V 时、他要求我提供其他 Vdrop 数据、以降低功耗。
    基本上、我认为 Vin=1.7V 时的数据与您之前附加的数据相似。
    实际上、这是怎么回事?

    顺便说一下、他希望评估 DQN 封装。 但我无法在网站上看到采用 TLV75512PDQN 的 EVM。
    他和我无法组装 DQN 封装。 您能否为我提供组装 TLV75512PDQN 的1个 EVM?

    谢谢
    TAMIO
  • 请注意,本文内容源自机器翻译,可能存在语法或其它翻译错误,仅供参考。如需获取准确内容,请参阅链接中的英语原文或自行翻译。

    您好、Tamio、

    用于估算这些压降曲线的数据可在数据表的电气特性表中找到。 对于1.7V 输出、我使用了以下突出显示的值以及上一个响应中描述的步骤:

    该数据旨在提供 TLV755P 压降电压的估算值。 您的客户可以通过根据其应用的特定条件评估 LDO 来获得更准确的压降数据。 TLV75512PDQN 和其他引脚对引脚 DQN 封装可使用通用低压降线性稳压器 EVM 进行评估。 您可以在 TI store 的以下位置找到它:

    以下是用户指南:

    谢谢、

    Gerard

  • 请注意,本文内容源自机器翻译,可能存在语法或其它翻译错误,仅供参考。如需获取准确内容,请参阅链接中的英语原文或自行翻译。

    您好、Gerard

    您的数据是在 Vout=1.7V 时。 我想知道的数据是当 Vin=1.7V 和 Vout=1.2V 时的数据。 基本上、我认为 Vin=1.7V 时的数据与 Vin=3.3V 时的数据相同。

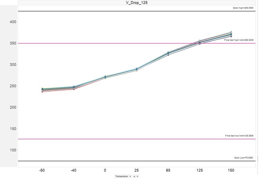
    BTW、我根据您的信息模拟了 Vdrop。 下面是我的数据。 我的数据的 slop 与您的数据不同。 我在85°C 时的数据与您在125°C 时的数据几乎相同。 您可以与我共享 Excel 文件进行仿真吗?

    谢谢

    TAMIO

  • 请注意,本文内容源自机器翻译,可能存在语法或其它翻译错误,仅供参考。如需获取准确内容,请参阅链接中的英语原文或自行翻译。

    您好、Tamio、

    我很抱歉、我错误地认为您说 Vout = 1.7V。除非另有说明、否则电气特性表中 Vout = 1.2V 的数据是使用 Vin = 2.0V 测量的。  Vin = 1.7V 时的压降特性将相似、因为 Vin 仅下降0.3V

    仅在25 C (典型值)、85 C (最大值)和125 C (最大值)条件下提供了压降电压规格。 150 C 时未提供压降数据、因为压降数据超出了器件的建议工作结温。 您的150 C 数据应该是125 C、125 C 数据应该是85 C。以下是我的电子表格供参考:

    e2e.ti.com/.../tlv755do.xlsx

    谢谢、

    Gerard  

  • 请注意,本文内容源自机器翻译,可能存在语法或其它翻译错误,仅供参考。如需获取准确内容,请参阅链接中的英语原文或自行翻译。
    您好、Tamio、

    由于已经有几个星期没有答复,我将结束这一主题。 如果您有任何其他问题、您可以随时发布。

    谢谢、
    Gerard