请注意,本文内容源自机器翻译,可能存在语法或其它翻译错误,仅供参考。如需获取准确内容,请参阅链接中的英语原文或自行翻译。
器件型号:LMR43620-Q1 工具与软件:
你(们)好。
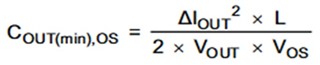
可以使用应用报告中的以下公式吗
[SLVA477B、降压转换器功率级的基本计算]至
计算 LMR43620-Q1的线圈输出纹波电流、输出电压纹波和过冲电压?




This thread has been locked.
If you have a related question, please click the "Ask a related question" button in the top right corner. The newly created question will be automatically linked to this question.
工具与软件:
你(们)好。
可以使用应用报告中的以下公式吗
[SLVA477B、降压转换器功率级的基本计算]至
计算 LMR43620-Q1的线圈输出纹波电流、输出电压纹波和过冲电压?



