This thread has been locked.

If you have a related question, please click the "Ask a related question" button in the top right corner. The newly created question will be automatically linked to this question.

035



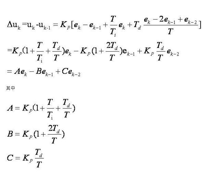
请问上图为PID增量公式是不是 P相当于A,I相当于B,C相当于D,我看PID程序中这样计算的,不知道对不对,请问大神这样解释对不对?