This thread has been locked.

If you have a related question, please click the "Ask a related question" button in the top right corner. The newly created question will be automatically linked to this question.

ACI_FE 模块原理性问题 异步电机电机控制



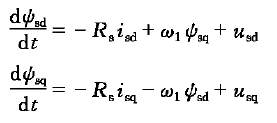
这是我在阅读 异步电机无传感磁链定向程序,ACI_FE模块中计算转子磁场角度程序原理的一部分。在这个程序中,它所使用的原理与课本上的原理有些出入,课本上是这样计算的

这里计算电压的方法为什么不一样啊? 最重要的是,这里用到了一个PI环节,这里的程序是什么意思啊,文档也没有详细说明。