我正在用28335做有源消声的毕设,现在要实现两块板子之间的通信,所以在之前的程序中加入了CAN通信部分。现在可以实现CAN的通信了,但是输出的音频失真很严重,而且有嘟嘟嘟的噪声。将CAN通信语句屏蔽之后就不会有失真的情况了,不知道加入CAN通信之后,对于原来程序的运行有什么影响?想请教一下有没有大神可以给我解答一下,不胜感激!附件部分是我的程序。
This thread has been locked.
If you have a related question, please click the "Ask a related question" button in the top right corner. The newly created question will be automatically linked to this question.
我正在用28335做有源消声的毕设,现在要实现两块板子之间的通信,所以在之前的程序中加入了CAN通信部分。现在可以实现CAN的通信了,但是输出的音频失真很严重,而且有嘟嘟嘟的噪声。将CAN通信语句屏蔽之后就不会有失真的情况了,不知道加入CAN通信之后,对于原来程序的运行有什么影响?想请教一下有没有大神可以给我解答一下,不胜感激!附件部分是我的程序。
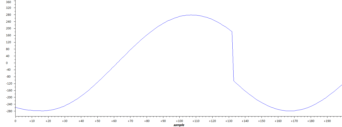
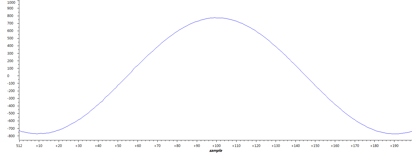
第一个信号是我用手机播放的单频声,作为程序的输入,频率在300Hz多,具体数值记得不是很清楚了。下面那张图是程序输出的,按照程序算法,应该是输出一个幅值比输入信号小,但是波形一样的音频信号。但是现在的输出信号出现了类似于突降的这样一个情况,不知道我这样的描述是否足够您来进行分析呢?