This thread has been locked.

If you have a related question, please click the "Ask a related question" button in the top right corner. The newly created question will be automatically linked to this question.

请教PMSM滑膜观测器的问题



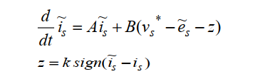
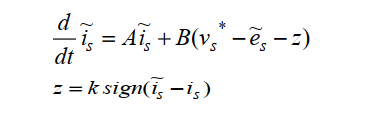
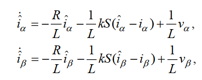
根据TI的官方手册观测器的公式为

其中包含了估测的反电势

但是很多论文的观测器公式是没有那个估测的反电势的

我感觉应该是用Z替代估测的反电势,因为Z通过低通滤波就可以得到反电势啊,求指教