收數據時是先graph - data - export all - save file in cvs
但每次收完都無法從第一筆開始 如圖
這樣就無法跟其他電流或磁通對上
請問如何解決
謝謝
This thread has been locked.
If you have a related question, please click the "Ask a related question" button in the top right corner. The newly created question will be automatically linked to this question.
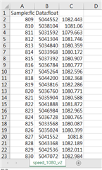
收數據時是先graph - data - export all - save file in cvs
但每次收完都無法從第一筆開始 如圖
這樣就無法跟其他電流或磁通對上
請問如何解決
謝謝