在文档InstaSPIN Projects and Labs User’s Guide中的速度环PI讲解中,有一个滤波器对应的时间常数
,后边计算中给出的是

但是公式中两处引用了此值,两处都不一样,这是为什么?
This thread has been locked.
If you have a related question, please click the "Ask a related question" button in the top right corner. The newly created question will be automatically linked to this question.
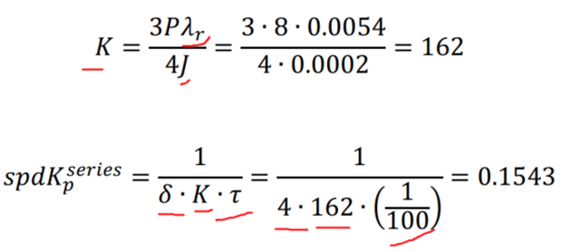
在文档InstaSPIN Projects and Labs User’s Guide中的速度环PI讲解中,有一个滤波器对应的时间常数
,后边计算中给出的是

但是公式中两处引用了此值,两处都不一样,这是为什么?