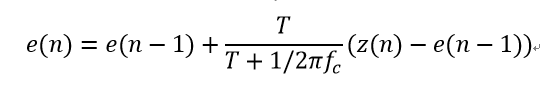
下面的代码,Kslf应该是滑模增益,按照下图我推理的一阶滤波器的公式,按照smo1.Kslf = _IQ(0.1057073975);这句话,fc应该是188Hz,我的理解正确吗?还有另外一个Kslide参数怎么获得呢?
/* Sliding control filter -> back EMF calculator */ \
v.Ealpha = v.Ealpha + _IQmpy(v.Kslf,(v.Zalpha-v.Ealpha)); \
v.Ebeta = v.Ebeta + _IQmpy(v.Kslf,(v.Zbeta -v.Ebeta)); \
// Initialize the SMOPOS module
smo1.Fsmopos = _IQ(smo1_const.Fsmopos);
smo1.Gsmopos = _IQ(smo1_const.Gsmopos);
smo1.Kslide = _IQ(0.05308703613);
smo1.Kslf = _IQ(0.1057073975);
