说明手册看了几遍,仍是没有找到该如何计算DCO的配置参数,如果我要给MSP430F1611的片子设置一个1M的频率,RSEL DCO MOD 这些参数的值要怎么计算?
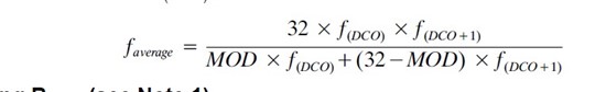
在参数手册里找到了下个公式,但公式里的FDCO的值找不到,手册里没有表格,也没有计算方法,基础的FDCO是怎么计算出来的呢?
This thread has been locked.
If you have a related question, please click the "Ask a related question" button in the top right corner. The newly created question will be automatically linked to this question.
说明手册看了几遍,仍是没有找到该如何计算DCO的配置参数,如果我要给MSP430F1611的片子设置一个1M的频率,RSEL DCO MOD 这些参数的值要怎么计算?
在参数手册里找到了下个公式,但公式里的FDCO的值找不到,手册里没有表格,也没有计算方法,基础的FDCO是怎么计算出来的呢?
官方提供两个公式用于计算MSP430的DCO频率,如下所示:
fDCOCLK = D × (N + 1) × (fFLLREFCLK ÷ n)
fDCOCLKDIV = (N + 1) × (fFLLREFCLK ÷ n)