如何计算开关电源里电感上电流的大小,电感上的温升又是如何计算的?
This thread has been locked.
If you have a related question, please click the "Ask a related question" button in the top right corner. The newly created question will be automatically linked to this question.
你好,电感算算损耗就好了,温升测测就行了,电感纹波大小,举一反三,会推导一个其他都一样,谢谢。
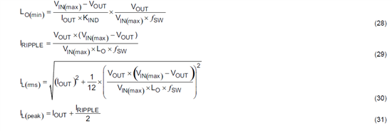
其实我的目的也不一定是要算出来温升,只是计算电感的温升--IL^2*DCR*电感的温升系数--发现计算值很小,而在开关电源中电感的温度一般较高,所以有些好奇是什么原因造成的Land wind 说:你好,电感算算损耗就好了,温升测测就行了,电感纹波大小,举一反三,会推导一个其他都一样,谢谢。
Hi yang,
他这个公式只是考虑了线圈的导通损耗,没有考虑磁芯损耗,而且即使是线圈的导通损耗也只是考虑了直流损耗,没有分开直流交流,这个公式不准确的,谢谢。