Other Parts Discussed in Thread: UCC256403
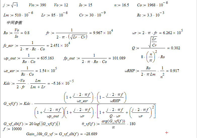
你好!在《Most Frequently Asked Questions About the UCC25640x LLC Resonant Controller 》P18页,功率级的开环增益是-25db。

对UCC25640EVM的主电路进行提取,用Mathcad进行计算,数值是-28.689db,不知是哪里出了差错?

你好!在《Most Frequently Asked Questions About the UCC25640x LLC Resonant Controller 》P18页,功率级的开环增益是-25db。

对UCC25640EVM的主电路进行提取,用Mathcad进行计算,数值是-28.689db,不知是哪里出了差错?
