使用BQ34Z100-G1的磷酸铁锂2S1P电池组方案,I2C通讯接口
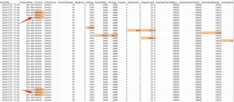
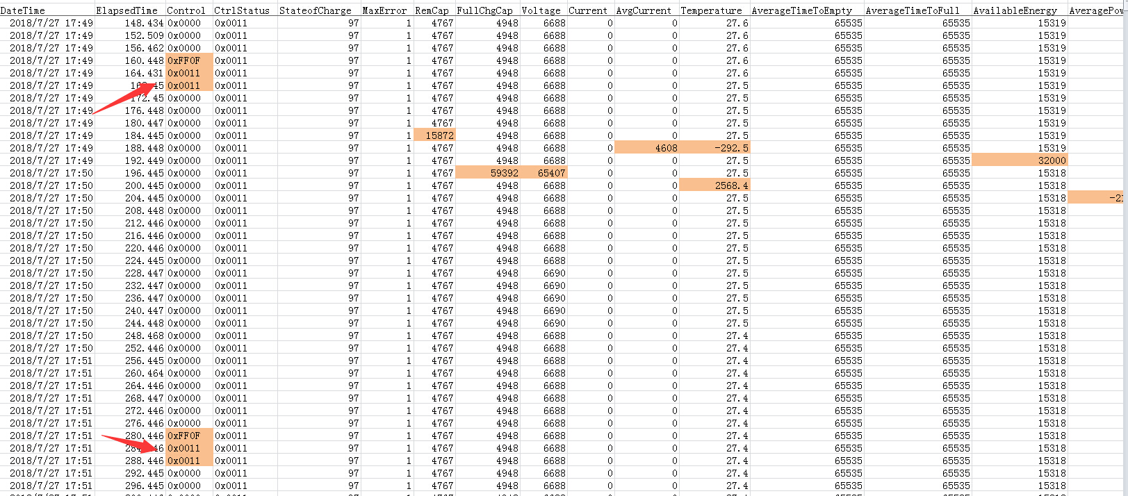
配置好参数,进行校正,学习成功后使用EV2300(Version:3.1C)和bqStudio(Version:1.3.86)进行LOG数据,
分析数据,发现LOG数据中每隔27组数据,“Control”数据就会出现异常,正常情况下应该为0x0000,但实际上会出现三组其他数据,这些数据在Datasheet中查询不到;在这三组“Control”数据异常之后,紧跟着的几组数据的容量,电流,温度等数据也会出现异常。
请问出现这种情况可能的原因是什么?
在论坛上看到EV2300的固件版本可能与通讯有关,请问要怎么要烧写其他版本的EV2300固件?
附上LOG数据
