This thread has been locked.

If you have a related question, please click the "Ask a related question" button in the top right corner. The newly created question will be automatically linked to this question.

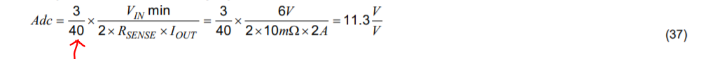
TPS40361 datasheet 上一个公式37中一个系数由来



请问一下各位大佬,请问一下TPS40361 datasheet上公式37中间的系数3/40是怎么来的?