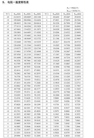
我这边用BQ34Z100做一个7串项目,温度采样外部温度,放在恒温箱里面,恒温箱设定-40度,静置4小时后,用Battery Management Studio看显示温度最低为-30度,温度一直下不去,温度NTC为火柴头,10K,1%误差,B=3435,我实测恒温箱实际温度为-39度;单独拿NTC实量在-39度温度下阻值为200k左右,查了NTC阻值温度表,-39度对应的阻值为199.8k说明温度采集是正常的,不知道什么原因BQ34Z100在低温显示温度和实际温度差异这么大,常温下是没有差异的?


这是使用的NTC规格书截图,用的是仙桥的