您好
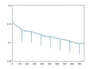
我在使用AWR1843+DCA1000进行数据采集,chirp周期为100uS,每个frame发送128个chirp,总共8个frame。我对数据进行rangeFFT后,观察一个距离门内的相位变化,我发现在每一个frame开始时会有相位突变,如图所示。

我的应用需要使用足够长的数据,因为1个frame最多只能循环255个chirp,因此我必须使用多个frame的相位信息。我想知道这是由于什么原因造成的?我该如何去解决这个问题?
This thread has been locked.
If you have a related question, please click the "Ask a related question" button in the top right corner. The newly created question will be automatically linked to this question.
1个frame最多只能循环255个chirp
能否尝试设置0~511个chirpcfg为同样的配置,然后0~511个chirpcfg循环255次,这样能否满足你多个chirp的需求?
你好,
是的。注意长时间射频发射会导致芯片发热,请注意保证芯片的温度是否超过spec。
FRAME_PERIODICITY
Valid range 300 μs to 1.342 s