This thread has been locked.

If you have a related question, please click the "Ask a related question" button in the top right corner. The newly created question will be automatically linked to this question.

AWR6843AOP: 3D People Tracking Demo

Part Number: AWR6843AOP


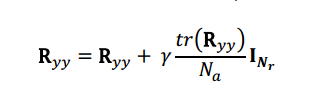
请问6843  3D People Tracking Demo中 ,diagonal loading 的γ和Na怎么确定的,有参考资料吗