This thread has been locked.
If you have a related question, please click the "Ask a related question" button in the top right corner. The newly created question will be automatically linked to this question.
我用8位格式检索,碰到一些问题,麻烦您解答一下
您好,
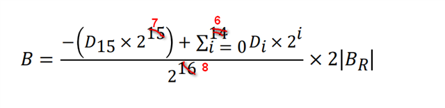
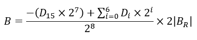
很抱歉,这个公式有打字错误,应该和公式10 一样的方法,改为:
参考下面帖子回复中公式,我也复制如下:
https://e2e.ti.com/support/sensors-group/sensors/f/sensors-forum/1321099/tmag5273-about-equation-11?tisearch=e2e-sitesearch&keymatch=TMAG5273#