This thread has been locked.

If you have a related question, please click the "Ask a related question" button in the top right corner. The newly created question will be automatically linked to this question.

CC26X2R1蓝牙AOA模块中,切换天线时数据变化问题



CC26X2R1工作原理是依次使用三个天线接收蓝牙数据,每根天线每次收16个I/Q数据,根据其I/Q值算出相位,并用两根天线之间的相位差计算AOA。但我们注意到切换天线时输出的I/Q值对应的相位并不是瞬间跳变的,而是连续过度过去的,这是否和其工作原理相悖?还是说切换天线需要时间,导致这段时间内的I/Q值并不是单根天线的结果,而是两根天线的叠加?

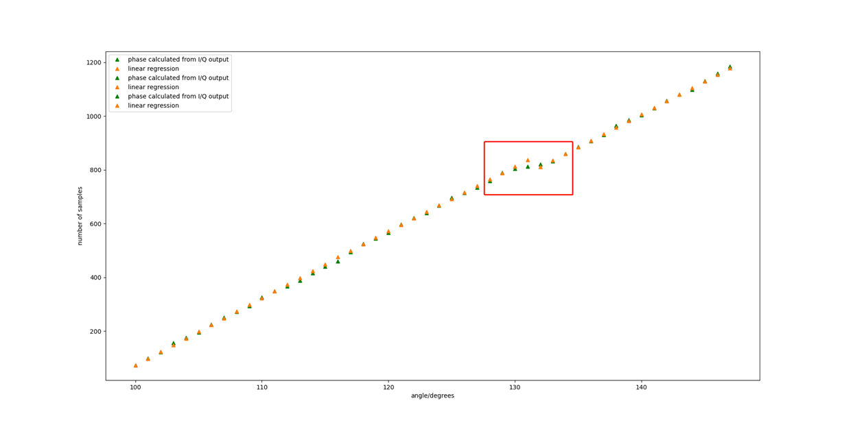
如图,绿色为每个I/Q采样点算出的相位,黄色为对每个天线的16个数据做线性拟合的结果(即,期望的结果:切换天线不需要时间,瞬间跳变)。红框内的几个点可以明显看出相位是平滑变换过去的。我们认为按照给出的样例代码中,AOA.c的例子,这可能引入误差。

请给出这一现象的解释:CC26X2R1蓝牙模块切换天线时是否需要长达几个采样点的过渡过程?是否为导致这一现象的原因?