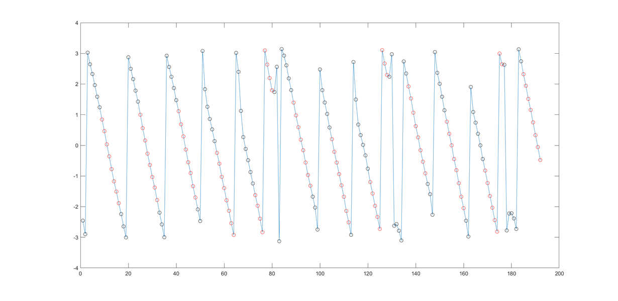
你好,我目前已经将cc2640R2f的开发板换为了cc26x2的开发板。我在两款开发板的AOA功能对比中,发现测量两者的相位变化有区别。
在cc2640r2f测量的相位变化如图所示,在一根天线上时天线的相位随着时间递增的:
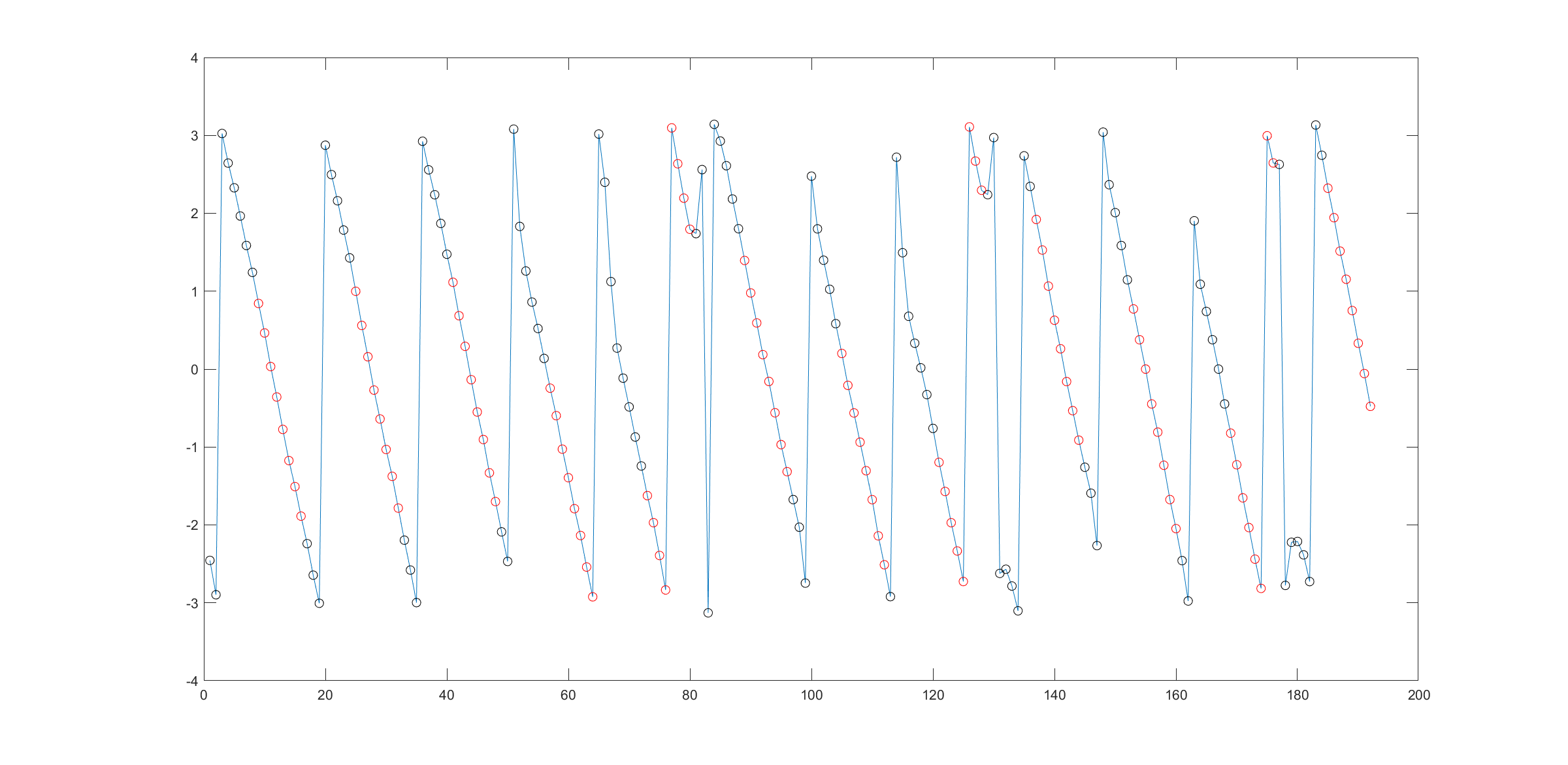
在cc2652f测量的相位变化如图所示,在一根天线上时天线的相位随着时间递j减的:
这是正常现象吗?还是我的cc2652中的实现代码有错误?
This thread has been locked.
If you have a related question, please click the "Ask a related question" button in the top right corner. The newly created question will be automatically linked to this question.
你好,我目前已经将cc2640R2f的开发板换为了cc26x2的开发板。我在两款开发板的AOA功能对比中,发现测量两者的相位变化有区别。
在cc2640r2f测量的相位变化如图所示,在一根天线上时天线的相位随着时间递增的:
在cc2652f测量的相位变化如图所示,在一根天线上时天线的相位随着时间递j减的:
这是正常现象吗?还是我的cc2652中的实现代码有错误?