我最近在参考TI提供的CC2530的参考设计进行自己的CC2530射频通信电路板设计。其中也翻阅了不少的设计笔记,在关于RF区域的PI滤波器后面的阻抗匹配计算问题上始终感觉很疑惑。按照TI的应用笔记《Layout Review Techniques for Low Power RF Designs》AN098里所说,这里的阻抗匹配计算采用的公式为:
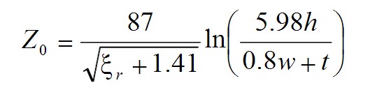
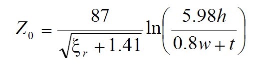
而按照经典的微带线阻抗计算公式则为:
因为我自己所采用的基板介电常数,板厚之类的肯定是TI参考设计里所指定的是不一样的,所以线宽是没法直接复制的。在此想向TI的工程师们确认一下是采用哪一种阻抗计算公式好呢?如果能说明一定的原因就更好了。谢谢。
