This thread has been locked.

If you have a related question, please click the "Ask a related question" button in the top right corner. The newly created question will be automatically linked to this question.

DS90UB948-Q1: 如何实现多点输出

Part Number: DS90UB948-Q1


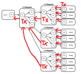
用948编码后使用HSD接口传输,如何实现多终端同屏输出(10点以上),可能的话尽量节约成本。