Other Parts Discussed in Thread: INA592
INA592 用于电压转电流输送器。 我的电路应该像这样工作
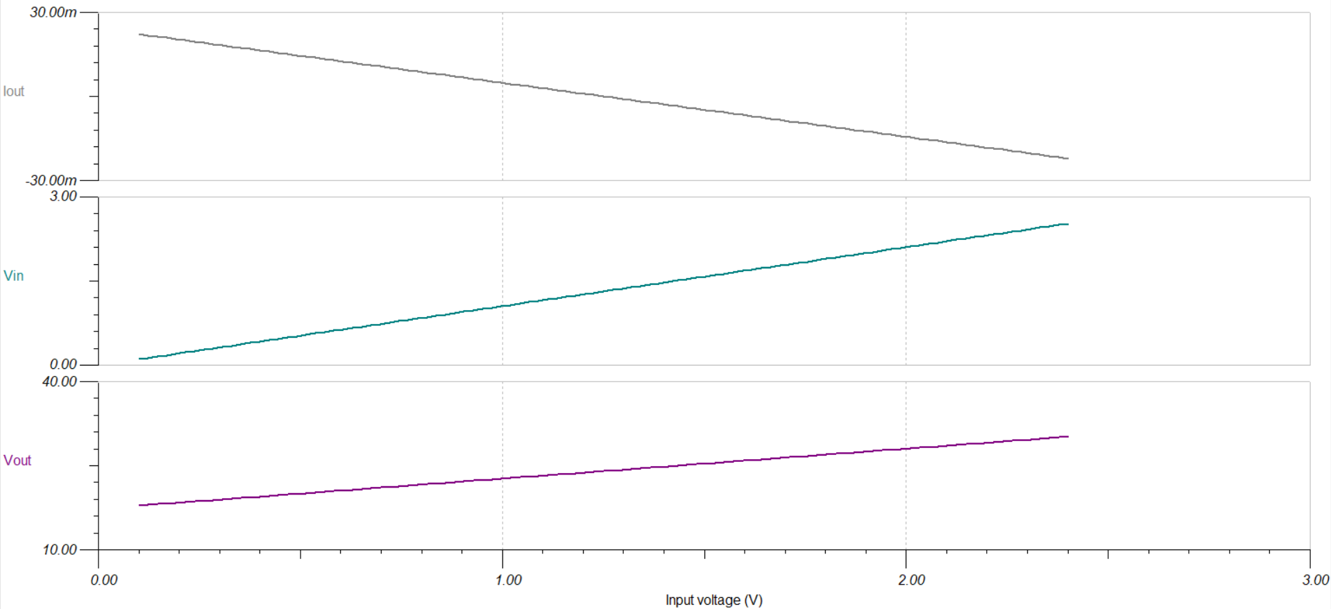
i.灌电 流模式配置:VIN 低于 1.25V 电流 (0 –20mA) 应流动、如果 Vin 高于 1.25V、则 0mA 应流动。
如果我的 INA592 电源和环路电阻器 R7 连接到同一电源、上面的操作正常。
但当 INA592 连接到 33V、环路电阻器 R7 连接到 24V 且共用接地时。 该电路在 Vin 为 0-2.5V 时工作、电流在–20mA 和 20mA 之间变化。
我附上了原理图和波形。 


