This thread has been locked.

If you have a related question, please click the "Ask a related question" button in the top right corner. The newly created question will be automatically linked to this question.

[参考译文] TLV6001-Q1:输入偏置电流/偏移电压,输出容差

Guru**** 2506105 points
Other Parts Discussed in Thread: TLV6001-Q1, TINA-TI, TLV6001

请注意,本文内容源自机器翻译,可能存在语法或其它翻译错误,仅供参考。如需获取准确内容,请参阅链接中的英语原文或自行翻译。

https://e2e.ti.com/support/amplifiers-group/amplifiers/f/amplifiers-forum/1102227/tlv6001-q1-input-bias-current-offset-voltage-output-tolerance

部件号:TLV6001-Q1
主题中讨论的其他部件: TINA-TITLV6001

各位专家,您好!

你好。

我们希望在本 培训指南中寻求帮助以澄清此问题。

使用 TLV6001-Q1部件,我们要计算高达125°C的输出容差。

输入偏置电流和偏移电压影响输出,正确吗? 此外,此运算放大器还具有偏置电流进入其差分输入。

以下是查询:

第一
如果输入电压(VIN+)为3V,
因此,输出电压为(3+Vos)*Gain或(3-Vos)*Gain,或两者?

2号
在培训指南中。
在第3页中,我们可以看到Vos的符号是(+-),
这意味着V+是(Vin - Vos)。
但在第15页中,公式为(Vin + Vosi)*gain。
哪一项是正确的?

3号
在第15页中,
我们可以看到公式为(VIN+VOI)*GAIN=Vout。
当我考虑第31页中的偏置电流时。
我认为公式是(Vin+Vosi)/R1+(Vin+Vosi-Vout)/RF+IB=0。
对吗?

4号
在本例中。
输出电压=输入电压- IBP*10k +输出电压?

感谢您的指导。

此致,
Archie A.(Archie A.

  • 请注意,本文内容源自机器翻译,可能存在语法或其它翻译错误,仅供参考。如需获取准确内容,请参阅链接中的英语原文或自行翻译。

    嗨Archie,欢迎回到GPAMPS论坛

    1. 它将是(3 +/- Vos)*增益
    2. 它们都是正确的。 偏移电压可以是+/-,Vin +(Vos),Vos为+/-,它可以是Vin +(+Vos)或Vin +(-Vos)
    3. 您列出的公式是正确的
    4.  您的输出电压=(1+RF/R1)*(Vin+Vos)+ IB*RF

    最佳,
    杰瑞

  • 请注意,本文内容源自机器翻译,可能存在语法或其它翻译错误,仅供参考。如需获取准确内容,请参阅链接中的英语原文或自行翻译。

    您好,Jerry:

    很抱歉再次打扰你。 客户对具有偏置和偏置电流的运算放大器的设计非常具体。

    因此,他们实际上是根据参数询问Vout的公式,如下所示:

    我尝试帮助客户进行自己的计算,请参阅下面的附件(可以放大)。

    您能否验证此计算是否正确?

    感谢您的指导。

    此致,
    Archie A.(Archie A.

  • 请注意,本文内容源自机器翻译,可能存在语法或其它翻译错误,仅供参考。如需获取准确内容,请参阅链接中的英语原文或自行翻译。

    嗨,Archie,

    我可以仔细检查数学,但仿真不是客户可能的途径吗?

    他们可以在 TINA-TI或 PSpice for TI中模拟此电路 ,并且能够看到偏置对电路的影响。

    它们可以输入具有不同输入偏置电流和偏置电压的不同器件,或者使用理想器件并添加您自己的偏置/输入偏置电流,如下所示。 我还连接了我的TINA电路,以便您也可以模拟它。

    e2e.ti.com/.../Archie_5F00_Ib_5F00_Vos_5F00_effects.TSC

  • 请注意,本文内容源自机器翻译,可能存在语法或其它翻译错误,仅供参考。如需获取准确内容,请参阅链接中的英语原文或自行翻译。

    您好,Jerry:

    很棒! 感谢您提供此附件,这对您的检查非常有帮助。

    另一件事,  

    电压随动件,输出电压应为Vin - R*IBP +Vos,正确吗?

    但是,当通过TINA进行模拟时,它不能作为推杆工作,VIN-不能遵循VIN+。

    谢谢你。

    此致,
    Archie A.(Archie A.

  • 请注意,本文内容源自机器翻译,可能存在语法或其它翻译错误,仅供参考。如需获取准确内容,请参阅链接中的英语原文或自行翻译。

    嗨,Archie,

    在上面的屏幕截图中,设备已断电。 这也类似于LTSPICE,而不是TINA-TI。 您能否分享您的TINA模拟,以便我确认您看到的内容?

    最佳,
    杰瑞

  • 请注意,本文内容源自机器翻译,可能存在语法或其它翻译错误,仅供参考。如需获取准确内容,请参阅链接中的英语原文或自行翻译。

    您好,Jerry:

    抱歉。 我不知道发生了什么,但现在它可以正常工作了。

    我只使用您共享的TINA设计:

    回到下面的公式,这是否正确?
    输出电压 = 输入电压- R*IBP +Vos


    谢谢你。

    此致,
    Archie A.(Archie A.

  • 请注意,本文内容源自机器翻译,可能存在语法或其它翻译错误,仅供参考。如需获取准确内容,请参阅链接中的英语原文或自行翻译。

    嗨,Archie,

    TINA设计使用理想的运算放大器,并离散实施了偏移电压和输入偏置电流。 如果您想要精确模拟设备,请确保下载并使用TLV6001。

    当输入偏置电流始终进入输入时,该公式对于双极器件是正确的,但在CMOS器件中可以是任意一个方向,具体取决于哪种二极管泄漏占主导地位。

    因此,输出电压为Vin + R*IBP + Vos,其中偏移和偏置电流为正或负。

    最佳,
    杰瑞

  • 请注意,本文内容源自机器翻译,可能存在语法或其它翻译错误,仅供参考。如需获取准确内容,请参阅链接中的英语原文或自行翻译。

    谢谢,Jerry。

    一切都很清楚。

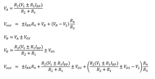
    客户提出的最后一个问题是电路的输出公式(数学)。 您可以确认吗?

    此致,
    Archie A.(Archie A.

  • 请注意,本文内容源自机器翻译,可能存在语法或其它翻译错误,仅供参考。如需获取准确内容,请参阅链接中的英语原文或自行翻译。

    嗨,Archie,

    这就是我得到的。 因为您使用的是TLV6001-Q1,即CMOS,所以我的IB为+/-,Vos在CMOS和双极器件中都是+/-。  

    最佳,
    杰瑞