请注意,本文内容源自机器翻译,可能存在语法或其它翻译错误,仅供参考。如需获取准确内容,请参阅链接中的英语原文或自行翻译。
https://e2e.ti.com/support/audio-group/audio/f/audio-forum/767610/tlv320aic3254-drc-with-control
部件号:TLV320AIC3254大家好,
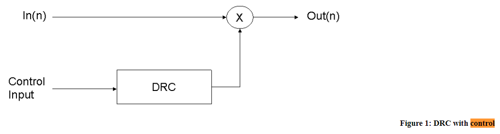
请问在PPS中使用“DRC with control”的情况? 单击帮助按钮,发现它有3个端口:输入/输出/控制输入。 但是,我不知道如何配置块,例如,哪个端口是控制输入? 如何设置值? “DRC with control”(控制DRC)块看起来与“DRC”块类似,请问应用时的区别是什么? 提前感谢!

