This thread has been locked.

If you have a related question, please click the "Ask a related question" button in the top right corner. The newly created question will be automatically linked to this question.

[参考译文] TMS320F28035:3p3z 中的系数

Guru**** 2543390 points
Other Parts Discussed in Thread: SFRA

请注意,本文内容源自机器翻译,可能存在语法或其它翻译错误,仅供参考。如需获取准确内容,请参阅链接中的英语原文或自行翻译。

https://e2e.ti.com/support/microcontrollers/c2000-microcontrollers-group/c2000/f/c2000-microcontrollers-forum/975123/tms320f28035-coefficients-in-3p3z

器件型号:TMS320F28035
主题中讨论的其他器件:SFRA

我将 SFRA 与补偿 设计器 MATLAB 脚本配合使用、以调整3p3z 补偿器。 我无法正确计算 b0、b1、b2系数。

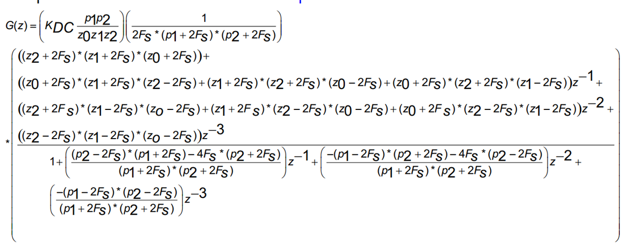
SFRA 文档中有以下公式:

,其中根据 Solar Lib 文档:

为了计算标称系数、我应该只使用 z–1、z–2等部分。 ? 例如、对于 b0:

和 B1

等等...

或乘以以下部分、即:

我尝试这两种方法、但我没有收到正确的值。

首先、我使用补偿设计器生成的值来执行此操作、以正确检查公式。

我想将 SFRA 数据应用到 MATLAB 脚本中、然后 使用 sisotool 在 Matlab 中进行调谐、然后接收补偿传递函数、然后将其乘以初始模型生成的传递函数、并用解算器计算极点和零点频率。

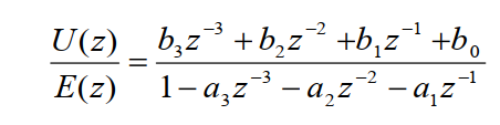
我在计算分母系数(A1、A2...)中有正确的值

  • 请注意,本文内容源自机器翻译,可能存在语法或其它翻译错误,仅供参考。如需获取准确内容,请参阅链接中的英语原文或自行翻译。

    较旧版本的补偿设计器使用以 dB 为单位的 KDC

    下面是完整的脚本


    S=TF ("S");

    FS=200000;

    增益= 80;
    gain_mul=10^(gain/20.0);

    Z0=2*PI*25000;%FS/PI;
    Z1=2*PI*2000;
    Z2=2*PI*1000;
    P1=2*PI*100;
    P2=2*PI*5000;
    g=gain_mul*((p1*p2)/(z1*z0*z2))*((s+z1)*(s+z0)*(s+z2)))/(s*(s+p1*)*(s+p2)));
    Bode (G);
    稍等;

    %%
    TS=1/Fs;

    B=[((Z0+2*FS)*(Z1+2*FS)*(Z2+2*FS))/(2*FS*(P1+2*FS)*(P2+2*FS))...
    ,(2*FS+Z0)*(2*FS+Z1)*(2*FS)+(2*FS+Z0)*(Z1-2*FS)*(2*FS+Z2*FS)*(2*FS+Z2)+(Z0-2*FS)*(2*FS+FS)*(2*FS+Z2*))/(2*FS+Z2*(1*)*)*FS+FS+FS+Z2*(1*)*)*(2*)*(1*)*(1*)*)*(1*)*+FS+FS+FS+FS+FS+
    ((2*FS+Z0)*(Z1-2*FS)*(Z2-2*FS)+(Z0-2*FS)*(2*FS+Z1)*(Z2-2FS)*(Z2-2*FS)*(Z0-2*FS)*(2*FS+Z2*FS))/(2*FS+Z2*FS+Z2*(1*)*)*(2*FS+FS+FS*(1*)*)*(2*)*(1*)*)*(1*)*(1*)*)*(1*)*)*(2*)*(2*FS+FS
    ((Z0-2*FS)*(Z1-2*FS)*(Z2-2*FS))/(2*FS*(P1+2*FS)*(P2+2*FS));]
    B=B.*((gain_mul*P1*P2)/(Z1*Z0*Z2));

    A=[1...
    ,(((P2-2*FS)*(2*FS+P1)-4*FS*(2*FS+P2))/((P1+2*FS)*(P2+2*FS)))...
    ,(-4*FS*(P2-2*FS)-(P1-2*FS)*(2*FS+P2)/(P1+2*FS)*(P2+2*FS))……
    ,(-(P1-2*FS)*(P2-2*FS))/(P1+2*FS)*(P2+2*FS));


    TEMP2=1/((P1+2*FS)*(P2+2*FS));
    a1=(((P2 - 2 * FS)*(P1 + 2 * FS)- 4 * FS *(P2 + 2 * FS))* temp2;

    G_d=TF (B、A、TS);
    波特(G_d);