工具与软件:
您好!
您是否有关于不同 sinc 滤波器配置的相位响应的信息?
应用手册 sbaa094提供了下图、其中显示了 FS = 10MHz、OSR = 16时 SINC3滤波器的增益响应。

同样、技术参考 spruii0f (在 SDFM 第28节中)以下图显示不同 sinc 滤波器的增益响应。

但以上两个文档都不会提供有关 sinc 滤波器的相位响应的任何信息。
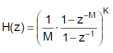
我从 sbaa094中获得了正弦滤波器的传递函数。

然后、通过应用替代 z = e^jw (其中 w = 2pi*f/fs)、然后求解幅度和角度、我得到了以下波特图。 增益与上述应用手册 sbaa094中的第一个示例完全匹配。 但我想知道我是否正确评估了相位。
滤波器的第一个陷波是在 FS/OSR = 10MHz / 16 = 625kHz 时。
在波特图中、我将增益和相移标记为比第一个陷波低十倍频(即62.5kHz)。 该频率下的相位约为-50度。

该相位响应是否正确? 您可以分享哪些资源来展示不同 sinc 滤波器配置的相位响应(或如何计算)?
谢谢!
Fearghal Kineavy