主题中讨论的其他器件: LMR33620、 LMR36006、 TPS61022、 LM43603
工具与软件:
您好、我们将 LMR66420用于具有以下要求的设计:
- VIN = 24VDC、标称值(19-29VDC)
- VOUT = 5VDC
- IOUT =~μ A 70mA、nom (100mA、max)
我们对输出电压纹波或瞬态响应速度没有严格的要求。
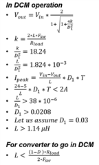
我从各种 TI 文档中的理解是、在上述负载下、它将在所有时间内以 PFM 模式运行。
当器件处于 PFM 模式时、数据表所提供的关于选择合适元件(Cin、Cout、L)所需计算的信息有限。
我已经尝试使用 WEBENCH、但它在此部件的可用信息方面非常有限、因为它不会启用 WEBENCH 的仿真部件。
我一直在使用以下内容来尝试了解此器件的预期运行情况、您能否建议这些资源是否适用于 LMR66420、如果这些资源不适用、请提供替代方案:
- SNVC234 -模式转换计算器 LMR336x0 LMR360xx
- SNVA857 - 了解 LMR33620/30和 LMR36006/15的模式转换
- SSZTAL7 -同步降压转换器中的输入和输出电容器注意事项
- SLVAFC3 - TPS61022 PFM 的机制以及 TPS61xxx 转换器的 PFM 与 PWM 之间的负载阈值
- LM43603 数据表-利用组件选择计算
我对以下内容特别感兴趣:
- 在 PFM 模式下基于设计输入的元件选择
- 根据元件选型计算 PFM 之外的模式转换点。
- 处于 PFM 模式时的 Vout 纹波
如果此转换器有 SPICE 模型、那将是理想之选。
在此阶段、我们不考虑使用任何替代器件、除非预计 LMR66420在此配置中不可靠。






= 0.2139 = 21.39% 
