Other Parts Discussed in Thread: LM5155
器件型号: LM5155
您好、
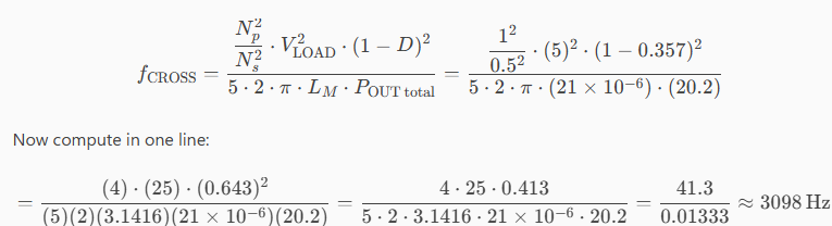
我正在使用 LM5155 设计隔离型反激式转换器。 我的设计符合 Vin=15V、Vout=29V 和 Iout= 0.75。 我使用以下公式计算交叉频率、该频率与使用的 TI 设计 Excel 工作表计算出的值不匹配。
我重新检查了示例(链接如下)中给出的以下计算、其中交叉频率计算为 8.68kHz、但我的计算仅得到 3.1kHz。 请重新检查方程式中的任何错误或我是否在考虑错误。 下面也提供了我的计算。
如何使用 LM5155 设计隔离型反激式(修订版 A)

请参阅下面的计算:





