This thread has been locked.

If you have a related question, please click the "Ask a related question" button in the top right corner. The newly created question will be automatically linked to this question.

[参考译文] UCC28950:基准电压上升约5V

Guru**** 2573695 points
Other Parts Discussed in Thread: UCC28951, UCC28950, UCC27210

请注意,本文内容源自机器翻译,可能存在语法或其它翻译错误,仅供参考。如需获取准确内容,请参阅链接中的英语原文或自行翻译。

https://e2e.ti.com/support/power-management-group/power-management/f/power-management-forum/727898/ucc28950-reference-voltage-rising-about-5-volts

器件型号:UCC28950
主题中讨论的其他部件:UCC28951UCC27210

我在全桥电路中使用 UCC28950 (或 ucc28951)。  我使用每个输出 A、B、C 和 D 来驱动 UCC27210 IC。  每个输出连接到两个27210、以驱动桥的每个主要部分的4个大型 MOSFET。  当驱动器芯片断开连接时、28950运行良好、板载基准电压为4.99伏(良好)。  当我将 FET 驱动器连接到输出 A 和 B 时、基准电压略微上升至大约... 5.05伏。  然后、当我将驱动器添加到输出 C 和 D 时、基准电压上升到接近6伏。  我将直接测量器件支脚上的基准电压。  请记住、芯片的其他功能似乎可以... 频率稳定... 并且输出相位看起来稳定。

我已经测量了阻抗、查看了驱动器对。  大约120pF 的电容... 驱动器输入上的接地端连接120千欧。  我仔细检查了以确保大电流在私有路径等中流动...

我已经注意到、这个问题之前已经被问及... 大约3年前... 没有答案。

有人有什么想法吗?

  • 请注意,本文内容源自机器翻译,可能存在语法或其它翻译错误,仅供参考。如需获取准确内容,请参阅链接中的英语原文或自行翻译。
    您好、Robert、

    您能否在两个测试条件下发布一些显示 Vref 的波形。 Vref 电压应保持在5V 典型值。 Vref 上安装了多大的去耦电容值、是否有任何电路由 Vref 引脚供电。

    此致

    Peter
  • 请注意,本文内容源自机器翻译,可能存在语法或其它翻译错误,仅供参考。如需获取准确内容,请参阅链接中的英语原文或自行翻译。

    Peter、

    感谢您的关注。  这个问题令人困惑!

    我将处理一些波形。

    我发现了这个: 首先... 我发现、即使是放置在 B C D 上的示波器探头的15pF 也会导致 Vref 升高。  我有一个1uF 和一个10uF 陶瓷电容器。   

    电源引脚上。  我正在使用带 SMT 适配器板的矢量板... 原型级别... 但我没有什么选择... 接线尽可能短。

    在这些信号传输到大约18英寸的栅极驱动器对之前、我已通过将681欧姆电阻器与 B C 和 D 串联来"解决"该问题。  就传播延迟而言、这会花费大约9或10纳秒的时间... 我可以生活的东西。  但我需要知道为什么会发生这种情况。

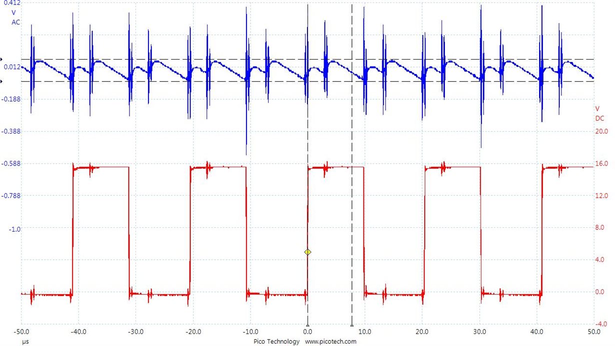
    下面的蓝色是 VREF 引脚... 交流耦合... PK 到 pk (减去尖峰)约为60mV ... 直流电平约为5.9V、红色为输出 A。 基准引脚确实具有1uF 陶瓷电容器。

    第二个图像是安装了电阻器... Vref 上的电压为4.99伏... 而且垃圾更少...

  • 请注意,本文内容源自机器翻译,可能存在语法或其它翻译错误,仅供参考。如需获取准确内容,请参阅链接中的英语原文或自行翻译。
    此外... 我在 Vref 引脚上有330欧姆的纯电阻负载... 这是为了纠正问题而疯狂地进行的... 它不存在任何其他原因。 尽管我确实有 INA240-3、但这对于使用该 Vref 很方便...
  • 请注意,本文内容源自机器翻译,可能存在语法或其它翻译错误,仅供参考。如需获取准确内容,请参阅链接中的英语原文或自行翻译。
    您好 Robert

    这不是我遇到的行为、如果您可以向我发送您提到的早期帖子的链接、我会感兴趣。

    在 OUTx 路径中添加一些电阻器有助于、"示波器探针电容使 VREF 增大的方式以及在 MOSFET 经历 ZVS 转换期间 VREF 增大的事实可能表明存在共模噪声问题。

    SS/EN 引脚上的噪声可能会导致 VREF 增大。 在正常运行期间、SS/EN 通过1k 上拉电阻器连接到 VREF。

    如果将系统放置在 PCB 上、我会预计这种行为会消失、但现在我会将681欧姆电阻留在原位-正如您指出的那样、10ns 传播延迟目前不会成为问题-尤其是因为它已应用 所有 OUTx 信号。

    请告诉我是否有任何进一步的帮助。

    此致
    Colin
  • 请注意,本文内容源自机器翻译,可能存在语法或其它翻译错误,仅供参考。如需获取准确内容,请参阅链接中的英语原文或自行翻译。

    Colin 等人、

    我最终在单线接地中跟踪了问题的原因、直至电感。  真正让我感到满意的是 Vref 波形的线性下斜率... 并联稳压器正在尝试。  接地端的电压尖峰会短暂关闭分流器、Vref 电容器会升高。  奇怪... 正总线中的杂散电感似乎没有问题。  可能希望在数据表中注意这一点"对接地电感特别敏感"...

    我通过创建一个具有多个并联接地的伪接地层来解决这个问题... 网状网络。  通常、我会放弃 使用 perf 板进行开发。 工作... 这次不是。  A B C D 输出的上升时间很短... 非常快。

    现在、了解一下为何我一直在使用 UCC27210……  

    感谢大家、

    Rob

  • 请注意,本文内容源自机器翻译,可能存在语法或其它翻译错误,仅供参考。如需获取准确内容,请参阅链接中的英语原文或自行翻译。
    您好 Rob

    这是一个好消息、感谢您的介绍。 UCC28950与所有 SMPS 控制器共用、必须在高噪声环境中运行、并且系统接地始终很重要。

    此致
    Colin