您好!
我是负责处理 TI 产品的经销商的 FAE。
我收到了一个客户关于 UC2844AN 振荡频率变化的问题。 主要条件如下所述。
(问题1)
对于该器件的振荡频率变化、仅使用以下"初始精度"是否正确?
(问题2)
如果问题1是"是"、是否可以向我提供有关整个温度范围内的可变性的数据?
数据表数据似乎是25°C 时的数据
(主要条件)
电源电压:VCC = 19至22V
℃℃:-15 ̊ C 至+75 ̊ C
此致、

This thread has been locked.
If you have a related question, please click the "Ask a related question" button in the top right corner. The newly created question will be automatically linked to this question.
您好!
我是负责处理 TI 产品的经销商的 FAE。
我收到了一个客户关于 UC2844AN 振荡频率变化的问题。 主要条件如下所述。
(问题1)
对于该器件的振荡频率变化、仅使用以下"初始精度"是否正确?
(问题2)
如果问题1是"是"、是否可以向我提供有关整个温度范围内的可变性的数据?
数据表数据似乎是25°C 时的数据
(主要条件)
电源电压:VCC = 19至22V
℃℃:-15 ̊ C 至+75 ̊ C
此致、

感谢你的答复。
RT 和 CT 低于和327kHz。
RT:5.6kΩ μ s (变化范围:±1.25%)
CT:940pF (470pF x 2视差、变化范围:±5.16%)
我想再问一个问题。
(问题3)
对于振荡器与电气特性之间的差异、是否有必要考虑以下三项?
将这三项中每一项的可变性相加。
(问题4)
我的 VCC 规格在19V 和22V 之间变化。
在这种情况下还应考虑"电压稳定性"要求吗?
此致、

您好!
(问题1): 对于该器件的振荡频率变化、仅使用以下"初始精度"是否正确?
这是为了指定不同器件之间的差异,即您可能看到一个器件的频率为52kHz,而 另一个50kHz,但任何器件的频率都不能低于47kHz 或高于57kHz。
(问题2) 如果问题1是"是"、是否可以向我提供整个温度范围内的可变性数据? 数据表数据似乎是25°C 时的数据
例如、如果您获得的器 件物理频率为50kHz、则其温度稳定性 TMIN≤TA≤TMAX 的变化为5%、即(50kHz x 0.95)= 47.5kHz 至(50kHz x 1.05)= 52.5kHz。 如果您选择另一个器件单元、则该单元的初始频率可以为57kHz (或47kHz)、然后您需要根据57kHz (或47kHz)确定其温度原因变化。
(问题3) 是否有必要考虑以下三项、了解振荡器与电气特性的差异? 将这三项中每一项的可变性相加。
对于温度,我已经向你展示了如何添加,所以对于电压,你也需要添加。
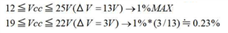
(问题4) 对于 VCC、我的规格在19V 和22V 之间变化。 在这种情况下还应考虑"电压稳定性"要求吗?
--是的,你需要考虑"电压 稳定性",并针对频率变化加入这种变化
此外、您还需要添加设置电阻器和电容器容差以应对频率变化。