This thread has been locked.

If you have a related question, please click the "Ask a related question" button in the top right corner. The newly created question will be automatically linked to this question.

[参考译文] TDA4VH-Q1:如何在 LDC 中实现[R、T]变换?

Guru**** 2455360 points


请注意,本文内容源自机器翻译,可能存在语法或其它翻译错误,仅供参考。如需获取准确内容,请参阅链接中的英语原文或自行翻译。

https://e2e.ti.com/support/processors-group/processors/f/processors-forum/1495905/tda4vh-q1-how-to-do-r-t-transformation-in-ldc

器件型号:TDA4VH-Q1

工具与软件:

大家好、TI 专家:  

在 DCC LDC 插件中、有一个3x3 [R、T]矩阵可进行旋转和转换。 但在此矩阵中、我们只能沿 z 轴旋转、并在 x-y 平面上进行转换。


我的问题是:如何在 LDC 中沿 x 轴或 y 轴旋转?

谢谢!  

Jianxiong Hua

  • 请注意,本文内容源自机器翻译,可能存在语法或其它翻译错误,仅供参考。如需获取准确内容,请参阅链接中的英语原文或自行翻译。

    大家好、建雄、

    Unknown 说:
    在此矩阵中、我们只能沿 z 轴旋转、并在 x-y 平面上进行转换。

    一般而言、如果您无法验证所有可能的 G 和 H 值以及网格 LUT、则由于 H/W 限制(位深度和精度)、我不建议使用此透视图。

  • 请注意,本文内容源自机器翻译,可能存在语法或其它翻译错误,仅供参考。如需获取准确内容,请参阅链接中的英语原文或自行翻译。

    尊敬的 Gang:  

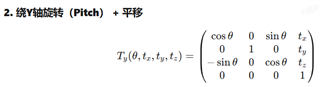
    若要沿 x、y、z 轴旋转、矩阵较低:

    但在 DCC 中、[R T]矩阵为:  

    我对使用此矩阵实现实现实现透视变换持怀疑态度。  

    换言之、是否可以 通过用户定义的 mesh.txt?包含旋转和透视变换

    Jianxiong Hua

  • 请注意,本文内容源自机器翻译,可能存在语法或其它翻译错误,仅供参考。如需获取准确内容,请参阅链接中的英语原文或自行翻译。
    [报价 userid="502704" url="~/support/processors-group/processors/f/processors-forum/1495905/tda4vh-q1-how-to-do-r-t-transformation-in-ldc/5749111 #5749111"]

    我对使用此矩阵实现实现实现透视变换持怀疑态度。  

    [报价]

    LDC 矩阵是公共反向映射、除了整数预分频限制外没有什么特殊之处。
    虽然公式用于正向映射、但数学方法相同。

    [报价 userid="502704" url="~/support/processors-group/processors/f/processors-forum/1495905/tda4vh-q1-how-to-do-r-t-transformation-in-ldc/5749111 #5749111"]

    换言之、是否可以 通过用户定义的 mesh.txt?包含旋转和透视变换

    [报价]

    这是我通常建议执行的操作、以避免 LDC H/W 中出现整数精度问题