大家好,我刚刚学习应用msp430单片机,买了一个5529lp入门,在学习flash的时候遇到一些问题.
开发环境:硬件:msp4305529 launch pad
软件:CCS6.12
目的:想要用尽可能大的flash存储数据,写入的数据1s一次存入flash,等预先设计好的空间快满了就把所有数据读出来,然后擦除,等待重新写入
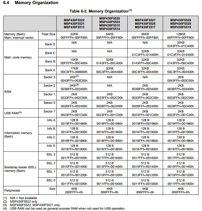
问题:1,在datasheet里面有flash的组织形式,
用户指南里说可以bank擦除,但是中断向量表(00FF80-00FFFFh)就存在bankB中,如果我要擦除整个bankB,是不是连中断向量表也一起擦除了?
2,我编译了程序之后,看生成的.map文件中,将 code memory model和data memory model选成small,
但是我看官方的程序里面说要Ensure Large memory model is selected,这个该如何设置?是不是选上use large-data memory model就可以?我选上这个之后提示我Small code model requires small data model as well. Small data model is being used.这个是冲突吗,那该如何解决呢?
3,我看到论坛里有说可以将中断向量表放到ram里,我没找到下载的地方,原来的地址已经无效了,谁能给我发一个,另外,如果放到ram里,当reset后会怎样?中断向量表还回到flash里还是ram里?如果能存到ram里,是否也能存到更低地址的flash里面呢?
谢谢



