This thread has been locked.

If you have a related question, please click the "Ask a related question" button in the top right corner. The newly created question will be automatically linked to this question.

TPS53129 设计问题(续12.2)

Other Parts Discussed in Thread: TPS53129

工业产品给电路板供电,要求输入电压12V,双路输出,采用外部mosfet结构。

其中一个芯片的输出是1V/4.5A,1.2V/3A,另一个芯片的输出是5V/4.5A,3.3V/3A。

初步选型为TPS53129。不知道能不能满足上述性能要求?盼回复,谢谢。

---------------------------------------------------------------------------------------------------------------以上通过感谢TI员工的热心回答,5V下应该能输出4.5A

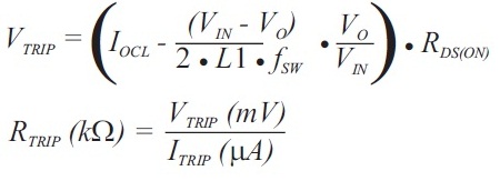
在看数据手册中有另一个问题。数据手册中说设置过流限制电流IOCL的时候(P10)

公式为Vtrip = {IOCL-[Vin-VO)*VO]/(2*L1*Fsw*Vin)}*RDS(on)

这里Vtrip在30-300mv之间,RDS(on)是几Ω

那么我们在输入Vin=12V,输出VO=1V,L1=1.5uH,Fsw=700K,取Vtrip=0.3V,RDS(on)=3Ω的时候

则0.1 = IOCL-[Vin-VO)*VO]/(2*L1*Fsw*Vin)

[Vin-VO)*VO]/(2*L1*Fsw*Vin)=11*1/(2*1.5*700*12*0.001)=0.44

那么过流限制电流岂不是只有0.5A了?如何能输出1V/4A的呢?请问我哪里的理解出现了问题?

另外如果想设计5V,5A的输出时应该注意哪些参数的选择?在guide里没有明确的说明

--------------------------------------------------------------------------------------------------------------------------这个地方RDS(on)应该看对应的mosfet数据手册,是我弄混了。

还有两个问题。

1.数据手册中关于Vtrip和Rtrip的计算(P10)公式是这样的

然而在P20中却又变成了这样

这样一来按两个公式的话计算就会出现很大的误差。比如我想设计的Vtrip是100mV,根据P10的公式,Itrip=10uA,计算得Rtrip=10k。

然而根据P20的公式Rtrip则=14K。这时应该以哪个为准?

2.第二个问题是分压电阻的选择。

在TI的有些电源芯片分压电阻的选择中只用满足一个公式Uo*R1/(R1+R2)=Vfb,其中Vfb是内部基准电压,就可以了,在这款电源芯片中是不是也可以这样计算?我在数据手册中发现计算公式是这样的

还是必须要严格的按照这个公式来计算?同时数据手册中Vfb是取典型值还是在范围中间的值就行了?多谢了!