

REF35规格书中展示了1/f噪声和宽带噪声的测试方案,在Fig 7-11 1/f噪声测试方案中REF35后面添加一个Buffer再进行滤波,而Fig 7-15测试宽带噪声方案中则没有添加Buffer直接进行滤波,请问这样做的原因是什么呢?




使用TI Tina对REF35进行噪声仿真,与规格书曲线不符,请问仿真结果对应用设计是否有参考意义?
This thread has been locked.
If you have a related question, please click the "Ask a related question" button in the top right corner. The newly created question will be automatically linked to this question.
您好
REF35规格书中展示了1/f噪声和宽带噪声的测试方案,在Fig 7-11 1/f噪声测试方案中REF35后面添加一个Buffer再进行滤波,而Fig 7-15测试宽带噪声方案中则没有添加Buffer直接进行滤波,请问这样做的原因是什么呢?
您看到的是逻辑模块结构,这些事通过测试后,将逻辑模块化便于您看的比较直观,在测试中为了不同方案的条件下均提供测试结果的优化,相对的方案中会增加buffer,不是其他的方案不可以添加,而是在测试过程中如此测试后,分享大家方便大家理解讲逻辑模块化后,有的测试中为了得到相对好的结果需要添加而已。
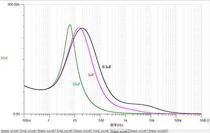
使用TI Tina对REF35进行噪声仿真,与规格书曲线不符,请问仿真结果对应用设计是否有参考意义?
datasheet的测试数据均有条件,不是所以条件下均符合这个数据,对于实际的参考意义在于设计初期对于这个IC对于实际的影响评估,当您设计符合您的项目需求的设计后,这个数据只能提供参考趋势,而不一定完全切合,请问测试环境不一样,电路不同等因素,相对的参考性质就会弱一些,关于这个问题,官方会提供仿真模型建议客户将自己的电路导入后,仿真验证是否能达到理想水平。
https://www.ti.com.cn/cn/lit/zip/snam282
这是官方的仿真模型。
您好
您的这两个问题都是针对于实际项目需求的,如果您关于如何选择有相关疑惑,官方有辅助工具事针对于ADC/DAC选择相关电源基准的,请您参考以下链接
https://dev.ti.com/gallery/view/LPVRS/ADC-DAC-To-VREF-SELECT_Design_Tool/
如果您在实际应用中想要合适这个buffer对于实际如何增益的,请参考官方仿真软件,进行验证优化过程。